0  247709  247717  247723  247727  247733  247735  247739  247745  247747  247753  247759  247763  247765  247769  247775  247777  247783  247787  247789  247793  247795  247799  247801  247803  247804  247805  247807  247808  247809  247811  247813  247817  247819  247823  247825  247829  247835  247837  247843  247847  247849  247853  247859  247865  247867  247873  247877  247879  247885  247889  247895  247903  447090 

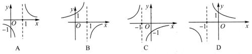
7.函数的图象是(  )

试题详情

6.已知幂函数的图象经过点,则的值等于(  )

A.16          B.         C.          D.2

试题详情

5.函数的定义域是(  )

A.     B.       C.      D.

试题详情

4.若函数在区间上的最大值是最小值的3倍,则等于(  )

A.         B.         C.          D.

试题详情

3.若的值为(  )

A.1           B.2           C.3           D.4

试题详情

2.下列函数图象中不正确的是(  )

试题详情

1.已知集合集合,则这样的集合B一共有(  )

A.1个         B.2个         C.3个         D.4个

试题详情

44、下图日历中所示夏至时刻是“北京时间”,回答下列问题(10分)

⑴2005年夏至时分,太阳直射点的地理坐标是                 

⑵该日正午太阳高度分布规律是                        ,地球是正午太阳高度达到最大的地区是              ,正午太阳高度达到一年中最小的地区是             

⑶该日地球接近       (远日或近日)点,公转速度较       (快或慢)。

⑷该日南昌、南京、南宁三地昼长由长到短依次择列为:            

⑸该日日出、正午、日落时分,南昌市某校操场上一旗杆的影子朝向依次是       

              

试题详情

43.下图为北半球某地天气系统图,分析回答下列问题。(10分)

(1)该天气系统是由锋面和    (高、低气压)相联系而形成的锋面气旋。

(2)气流垂直运动方向:C处    ,D处     ,C、D两处昼夜温差大的是    

(3)风向:A处     风,B处      风。

(4)如果冷暖锋均能引起降雨,则:

冷锋雨区位置主要在(甲、乙、丙、丁中的)      地,

暖锋雨区位置主要在(甲、乙、丙、丁中的)      地。

(5)右图所示的锋面位于左图中甲、乙、丙、丁中的           之间。

试题详情

42、读图,回答问题。(10分)

  

(1)图中A、B两处相比,_____处岩性较为坚硬,理由是_________________________。

(2)甲、乙、丙三个村庄中_____村为旅游

胜地,因为这里的________地貌风景优美,在此村修公路要注意________等问题。

(3)甲、乙、丙三村中,如果要找到化石只能到_____村和_____村去找,原因是________________。

(4)在野外勘探中,A、B、C三处, ______有利于储存地下水,大型工程选址尽量避开______。

试题详情


同步练习册答案