0  255818  255826  255832  255836  255842  255844  255848  255854  255856  255862  255868  255872  255874  255878  255884  255886  255892  255896  255898  255902  255904  255908  255910  255912  255913  255914  255916  255917  255918  255920  255922  255926  255928  255932  255934  255938  255944  255946  255952  255956  255958  255962  255968  255974  255976  255982  255986  255988  255994  255998  256004  256012  447090 

  K^S*5U.C#O  K^S*5U.C#O

试题详情

1--5ADBBC   6--10CBABD   11--12 CC

试题详情

22.(本小题满分14分)

已知函数(其中为正常数)。

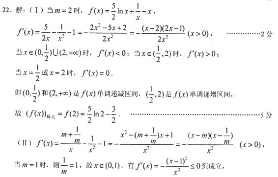
(Ⅰ)当时,求的极大值;  K^S*5U.C#O

(Ⅱ)试讨论在区间上的单调性;

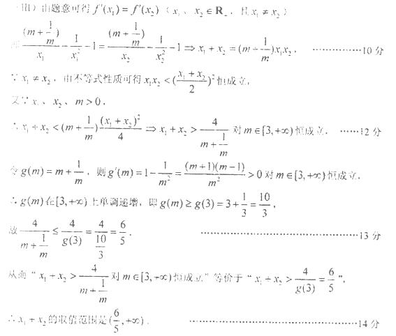
(Ⅲ)当时,曲线总存在两点,使得曲线在点处的切线互相平行,求的取值范围

2010年三明市普通高中毕业班质量检查

文科数学

试题详情

21.(本小题满分12分)

已知椭圆()的两个焦点分别是,离心率

(Ⅰ)求椭圆的方程;

(Ⅱ)设椭圆的长轴的端点分别为,过点的直线(轴不垂直)交椭圆两点,试探究一下两个命题的真假,并说明理由

   (ⅰ)对于任意直线,以为直径的圆与以为直径的圆总相交;  K^S*5U.C#O

   (ⅱ)存在直线,使得线段的中点在抛物线上。

试题详情

20.(本小题满分12分)

一个简单多面体的直观图如图所示,它的正视图和侧视图都是腰长为1的等腰直角三角形,俯视图为正方形,分别是的中点。  K^S*5U.C#O

(Ⅰ)在线段上找一点,使得∥平面

(Ⅱ)求证:

试题详情

19.(本小题满分12分)

某校高三(1)、(2)班共有100名学生,各种血型的人数如下:  K^S*5U.C#O

血型
A
B
AB
O
人数
28
28
8
36

  K^S*5U.C#O

(Ⅰ)某兴趣小组为研究血型与性格的相关性,需要在这100名学生中按血型分层抽样的方法抽取25名学生进行访查,求A血型的学生应抽取多少名?

(Ⅱ)在AB血型的8名学生中,(1)班5名、(2)班3名。在(Ⅰ)的条件下抽取AB血型的学生,用列举法求(1)、(2)两个班都有AB血型的学生被抽中的概率

(Ⅲ)已知同种血型的人可以互相输血,O型血可以输给任何一种血型的人,其他不同血型的人不能互相输血。若小明是高三(1)、班的B血型学生,因病需要输血,求在这两个班的学生中任找一个,其血可以输给小明的概率

试题详情

18.(本小题满分12分)

已知函数

(Ⅰ)求函数的最小值,并求取得最小值时的值;

(Ⅱ)将得图象向右平移()个单位后得到函数的图象,使得在区间上单调递增,写出一个满足条件的函数的解析式

试题详情

17.(本小题满分12分)

设等比数列同时满足条件:①,②,③(为公比)。

(Ⅰ)求数列的通项公式;

(Ⅱ)是否存在自然数,使得依次成等差数列?若存在,求出的值;若不存在,请说明理由

试题详情

16.2008年高考福建省文科数学第12题是:“双曲线()的两个焦点为,若为其上一点,且,则双曲线离心率的取值范围为:A.(1,3);B.(1,3];C.(3,+∞);D.[3,+∞)”其正确选项是B。若将其中的条件“”更换为“”,试经过合情推理得出双曲线离心率的取值范围是    

试题详情

15.观察数表:

1             

                    

           

…………………………………………

试归纳出第行四个数的一般形式:    

试题详情


同步练习册答案