0  259572  259580  259586  259590  259596  259598  259602  259608  259610  259616  259622  259626  259628  259632  259638  259640  259646  259650  259652  259656  259658  259662  259664  259666  259667  259668  259670  259671  259672  259674  259676  259680  259682  259686  259688  259692  259698  259700  259706  259710  259712  259716  259722  259728  259730  259736  259740  259742  259748  259752  259758  259766  447090 

2、还有没解决的问题吗?

试题详情

1、本节课你有那些收获?

试题详情

问题2:(教科书第4页例题)

先引导学生分析,再让学生独立完成

例 (1)一个月内,小明体重增加2kg,小华体重减少1kg,小强体重无变化,写出他们这个月的体重增长值;

(2)2001年下列国家的商品进出口总额比上一年的变化情况是:

美国减少6.4%,   德国增长1.3%,

法国减少2.4%,   英国减少3.5%,

意大利增长0.2%,  中国增长7.5%.

写出这些国家2001年商品进出口总额的增长率.

试题详情

通过上节课的学习,我们知道在实际生产和生活中存在着两种不同意义的量,为了区分它们,我们用正数和负数来分别表示它们.

问题1:“零”为什么即不是正数也不是负数呢?

引导学生思考讨论,借助举例说明.

参考例子:温度表示中的零上,零下和零度.

试题详情

22. 设函数

   (1)若的图象在处的切线与直线平行,求实数的值;

   (2)是否存在实数,使得函数内有两个不同极值点?若存在,求出实数的取值范围;若不存在,请说明理由。

试题详情

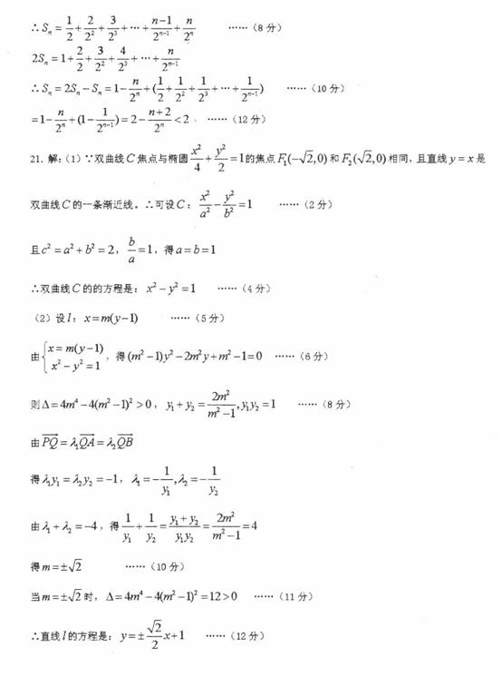
21. 双曲线与椭圆有相同的焦点,直线是双曲线的一条渐近线。

   (1)双曲线的方程;

   (2)过点的直线与双曲线交于、两点,交轴于点点(点与双曲线的顶点不重合)。当时,求直线的方程。

试题详情

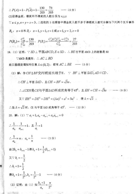
20. 设数列满足:

   (1)求数列的通项公式;

   (2)若数列的前项和为,求证:

试题详情

19. 如图,四棱锥的底面是菱形,平面

上一点,且 

.

   (1)证明:对任意,都有

   (2)是否存在点,使与平面成角等于

45°?若存在,求出的值,若不存在,请说明理由。

试题详情


同步练习册答案