0  260348  260356  260362  260366  260372  260374  260378  260384  260386  260392  260398  260402  260404  260408  260414  260416  260422  260426  260428  260432  260434  260438  260440  260442  260443  260444  260446  260447  260448  260450  260452  260456  260458  260462  260464  260468  260474  260476  260482  260486  260488  260492  260498  260504  260506  260512  260516  260518  260524  260528  260534  260542  447090 

7. We must do something to help her.

 _______________________________

试题详情

6. We call him Lao Wang.

 _______________________________

试题详情

5. He has finished his work.

 _______________________________

试题详情

4. He is repairing the machine.

 _______________________________

试题详情

3. She will sell her house soon.

 _______________________________

试题详情

2. He broke his leg in the match.

 _______________________________

试题详情

1. We often sing this song.

 _______________________________

试题详情

2. 某同学发现养鱼师傅向鱼塘中撒一种微黄色的固体,咨询得知,这种固体的主要成分是过氧化钙(CaO2),是为了解决鱼塘中氧气不足的问题。他回家后查阅资料,查到过氧化钠与水反应的原理:2Na2O2+2H2O=4NaOH+O2↑,且CaO2与Na2O2的化学性质非常相似。

⑴写出CaO2与H2O反应的化学方程式                       

⑵该同学为测定这种固体中CaO2的质量分数,称取20g样品加入到足量的水中,结果生成3.2g O2(假设样品中其它成分与水不反应)。请你帮助计算该样品中CaO2的质量分数。

试题详情

1. 氢气是理想的高能燃料,其燃烧产物对环境无污染。若充分燃烧8g氢气,在标准状况下,最少需要氧气多少升(标准状况下氧气的密度约为1.43g/L)?

试题详情

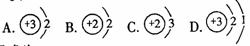
9. ①我国计划使用“长征三号甲”运载火箭将“嫦娥I号”

   送上月球,任务之一是开采月球上丰富的氦一3(质子数为2,中子数为1的原子)这一清洁能源;

   ②2006年8月中旬我省部分家庭厨房中的煤将被“西气东输”工程送来的天然气所替代。

(1)该运载火箭的动力是由高氯酸铵(NH4C1O4)分解所提供的,完成其分解的化学方程式:

2NH4ClO4 N2↑+Cl2↑+4  ↑+2O2

(2)氦-3原子的结构示意图为  (填序号);

(3)天然气的主要成分是甲烷,甲烷燃烧的化学方程式为        

  列举一条天然气取代煤作为燃料的优点:          

(4)合格公民都应具有节能意识,请你提出一条具体的节能建议      

试题详情


同步练习册答案