0  261652  261660  261666  261670  261676  261678  261682  261688  261690  261696  261702  261706  261708  261712  261718  261720  261726  261730  261732  261736  261738  261742  261744  261746  261747  261748  261750  261751  261752  261754  261756  261760  261762  261766  261768  261772  261778  261780  261786  261790  261792  261796  261802  261808  261810  261816  261820  261822  261828  261832  261838  261846  447090 

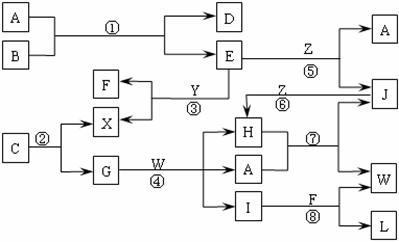
6. 下图表示各物质之间的转化关系。已知:

Ⅰ.A是无色液体,L是不溶于稀硝酸的白色沉淀,E、F、H、J、X、Y、Z是气体;

Ⅱ.G、X、Y、Z是单质,其它是化合物,其中Y呈黄绿色、H呈红棕色,E和F都极易溶解于水,二者相遇会有白烟生成;

Ⅲ.B和C都是由一种金属与一种非金属元素组成的化合物,其中非金属元素相同且质量分数都是28%,组成B的金属元素原子核外的K层和M层电子数相同。

请按要求填空:

⑴写出下列物质的电子式:A________________,X________________;

⑵工业上制取硝酸的反应有(填写反应代号):_____________________;

⑶写出下列物质的化学式:B___________,C___________;

⑷反应④的化学方程式为:_____________________________________________。

⑸保持容器的温度和体积不变,在反应③刚好完全发生时,反应前后容器的压强之比为__________。

试题详情

5. A、B、C、D分别代表硝酸银、偏铝酸钠、稀盐酸、浓氨水四种无色溶液中的一种。甲、乙两同学分别用两两混合的方法进行了如下图所示的实验,现象有的相同,有的不同,不同部分已标出。

⑴试写出A、B、C、D所代表物质的化学式:

A:____________、B:____________、C:____________、D:____________。

⑵写出B和C按物质的量之比为1:3时反应的化学方程式_____________________。

⑶写出A和D按物质的量之比为3:1时反应的离子方程式_____________________。

试题详情

4. A、B、C是短周期元素的三种常见非金属单质,常温下B为无色气体,A、C为固体。甲、乙、丙为中学常见的三种化合物,常温下C易溶于乙中。A、B、C与甲、乙、丙之间的转化关系如下图所示:试回答下列问题:

⑴C易溶于乙中的原因:_____________________________。

⑵甲的电子式:__________。

⑶下列物质能用来鉴别甲和丙的是:_________(填序号)。

①溴水;②BaCl2溶液;③Ca(OH)2溶液;④酸性KMnO4溶液;⑤品红溶液;⑥石蕊试液。

⑷写出乙在气体B中燃烧的化学方程式:___________________________________。

⑸写出甲与NaOH溶液反应的离子方程式____________________________________。

试题详情

3. 由A、D、E、G四种微粒组成的盐可表示为xAaDd·yE2zG(其中xyz均为系数)。取该盐4.704克溶于水得一澄清的弱酸性溶液,其中溶质的质量为3.408克。同质量的该盐与5.13克Ba(OH)2充分混匀后加热,生成的气体用足量的铝盐溶液充分吸收得Al(OH)3为0.624克,加热后的残渣用水溶解后过滤,滤液以酚酞为指示剂用0.400摩/升的H2SO4滴定至终点,用去H2SO4为15.0毫升,滴定完毕后,溶液检测不出任何金属离子和酸根离子,滤渣用HNO3洗涤时部分溶解,得一遇石炭酸显紫色的黄色溶液,依据推理、计算,将结果填入下列空格内。 ⑴A、D、E、G四种微粒分别为__________;⑵推算xyz之比为____________;

⑶推算ad之比值为___________________;⑷该盐的化学式为________________。

试题详情

2. 有一钠块放置于潮湿空气中,表面氧化变质,但仍为白色块状固体,称其质量为25g,将其全部投入足量水中反应,得到溶液1000mL,并收集到气体2.24L(标准状况下的纯净物),再取此溶液100mL,用1mol/L的盐酸滴定至中性,用去70mL,并将滴定过程中产生的气体通入到足量的澄清石灰水中,得到干燥的沉淀1g,则金属钠的氧化率为  

A.71.4%   B.81.6%   C.18.4%   D.28.6%

试题详情

1. X、Y是下列浓度均为0.1mol·L1的溶液中的某一种:①混有少量盐酸的MgSO4溶液 ②Al2(SO4)3溶液 ③明矾溶液 ④Ba(OH)2溶液 ⑤NaOH溶液。现向溶液X中逐滴加入溶液Y,得到的沉淀量与所加Y溶液的体积的关系的部分图像如右图所示,则符合该图像的共有_______种组合

A.5种    B.6种   C.8种   D.10种

试题详情

0.3 mol  0.4 mol          

反应时FeCl3不足,生成的FeCl2根据FeCl3计算,n(FeCl2)0.6 mol,

相当于6 mol·L1,选项C正确。本题应选BC。

[例2]⑴如下图所示,现有一瓶饱和氯水倒扣于水槽中,当日光照射到盛有氯水的装置时,可观察到平底烧瓶内有气泡产生,放置一段时间后,溶液颜色变浅,产生上述现象的原因是                     

________________________________________________(请用相关的反应方程式和简要文字说明)。

⑵当氯水中不再产生气泡时,某学生欲检验该反应所产生的气体,则该同学可采取的合理操作是                      (说明:氯水有一定腐蚀性,操作时需戴橡胶手套)

⑶在氯水中存在多种分子和离子,也可以通过实验的方法加以确定。下列说法错误的是

   A.加入含有NaOH的酚酞试液,红色褪去,说明有H+离子存在

   B.加入有色布条后,有色布条褪色,说明有HClO分子存在

   C.氯水呈浅黄绿色,且有刺激性气味,说明有C12分子存在

   D.加入硝酸酸化的AgNO3溶液产生白色沉淀,说明有Cl-离子存在

[分析]⑴氯气溶于水时发生反应Cl2+H2OHCl+HClO,光照时2HClO2HCl+O2↑,产生气体,同时使氯气与水反应的平衡向正反应方向移动,消耗Cl2,使溶液颜色变浅。⑵在水面下用玻璃片盖住瓶口,小心地将烧瓶移出水槽,瓶口向上放于桌上,移开玻璃片,迅速伸入带火星的木条。⑶在氯水中加入NaOH溶液,红色褪去的原因是由于HClO的强氧化性而漂白,可以用下列实验加以验证,在褪色后的溶液中再加入NaOH溶液,发现溶液仍为无色,本题应选A。

[例3]某同学为研究硝酸与镁的反应,进行图示实验,实验现象及相关数据如下:(a)A中为一定浓度的硝酸与Mg片发生反应,生成的气体通过B后,在B中只生成一种盐,剩余气体遇空气不变色,其体积为原体积的一半。(b)从C进入D中的气体有两种,且体积比为1∶1。(c)将D加热一段时间后,E中干燥的红色石蕊试纸逐渐变蓝。(设实验前,装置中的空气已排尽;气体的体积均在同温同压下测定)

已知反应中水蒸气的体积忽略不计,实验中的液体药品均过量。请回答:

⑴硝酸与Mg片反应生成的气体成分是___________________________(用化学式表示)。

⑵硝酸在装置A的反应中所表现的性质有____________________________________。

⑶写出D中发生反应的化学方程式__________________________________________。

⑷若向反应后的A中加入足量的NaOH固体,使产生的气体全部逸出,其体积为硝酸与Mg片反应生成的气体体积的1/4(同温同压),写出符合上述实验事实的硝酸与Mg片反应的离子方程式_________。

[分析]NO2气体与NaOH溶液反应的化学方程式为2NO2+2NaOH=NaNO3+NaNO2+H2O,NO与NaOH溶液不反应,但有NO2+NO+2NaOH=2NaNO2+H2O,结合(a)说明产物中有NO和NO2两种气体且两者的比例为1:1。结合(a)(b)知Mg和HNO3反应的产物中有4种气体生成,且物质的量相等。结合(c)可知E中生成的气体是NH3,反推知由N2和H2合成。通过⑷说明HNO3的还原产物中还存在NH4+,其物质的量和每一种气体的物质的量相等,最后可根据得失电子守恒把化学方程式配平。答案为:⑴NO  NO2  N2  H2  ⑵酸性  氧化性 ⑶Fe2O3+3H22Fe+3H2O  N2+3H22NH3

⑷12Mg+3OH++5NO3=12Mg2++NH4++NO2↑+NO↑+N2↑+H2↑+12H2O

[例4]生铁中一般含有化合物B,它的含量、形状、分布对生铁性能影响很大,使生铁硬而脆,不 

宜进行机械加工。已知:⑴E、F、H、I、P常温下为气体,H、I、P为单质,E是一种经棕色气体。⑵反应①②均为制备理想的绿色水处理剂Na2FeO4的方法,其中反应①在生成Na2FeO4的同时还生成NaNO2和H2O。各物质之间的转化关系如下图所示(图中部分生成物没有列出)。

请填写以下空白:

⑴写出F的电子式_________。⑵反应③的离子方程式为_____________________;

⑶反应①的化学方程式为____________________________。

[分析]常温下F是一种气体且能和Na2O2反应生成单质H,则H为O2,F为CO2,N为Fe2O3,红棕色气体E为NO2,应是氧化性酸HNO3的还原产物,可考虑A为HNO3,化合物B应是由元素Fe和C构成的化合物(本题中由于条件不足,问题中没有让学生回答未知物的化学式),和HNO3发生氧化还原反应,D应是H2O,C可能是Fe(NO3)2或Fe(NO3)3,由于G的水溶液电解生成2种气体I和P,所以G是NaCl,产物J能和HNO3反应,所以J是NaOH,I是Cl2,P是H2,K是NaNO3。答案为:

 ⑵2Cl-+2H2O2OH-+H2↑+Cl2

⑶Fe2O3+3NaNO3+4NaOH=2Na2FeO4+3NaNO2+2H2O

[专题演练]

试题详情

0.05  0.05×2           0.05  0.05×2

则第①组反应完全后剩余的FeCl30.4-0.05×2-0.05×20.2 mol,

相当于2 mol·L1,选项A错。

由上可得若混合粉末的质量为36 g,则铁和铜各0.3 mol,

Fe  + 2FeCl3  3FeCl2(先)  

试题详情

3.常能发生歧化反应和归中反应的元素有:Cl、Br、I、N、S、Fe、Cu等。

[思想方法]

[例1]今有一包铁粉和铜粉混合粉末,为确定其组成,现提供4 mol·L1的FeCl3溶液(其它用品略),某合作学习小组同学的实验结果如下(假定反应前后溶液体积不变):

组别




V[FeCl3(aq)]/mL
100
100
100
100
混合粉末质量/g
6
13.2
24
36
反应后剩余固体质量/g
0
1.28
12.8
24.8

下列结论正确的是

A.第①组反应后溶液中c(Fe3+) = 3.0 mol·L1

B.第②组剩余固体全是铜

C.第④组反应后的滤液中c(Fe2+) = 6 mol·L1

D.原混合粉末中n(Fe)∶n(Cu) = 3∶2

[分析]解答此题除了必须具备扎实的知识功底之外,其匠心还在于要求解题者必须具备:①破译复杂数据信息和选择适用信息的能力;②能透过现象抓本质的判断离子反应进行先后的能力;③在思维受阻时良好的心理承受能力。第①组数据只能说明固体混合物已全部溶解。第②组数据说明固体混合物反应后有剩余,则原FeCl3溶液已耗完,根据铁粉、铜粉与FeCl3溶液反应的先后顺序可判断溶液中的溶质有2种可能,一种只有FeCl2,另一种为FeCl2与CuCl2的混合物。对比第②组和第③组数据:固体粉末增加10.8 g,而反应后剩余固体质量增加11.52 g,两者质量不等,由此说明第②组反应后溶液中不可能只有FeCl2(否则无任何反应发生),而是FeCl2与CuCl2的混合物,同时可得1.28 g固体全为金属铜,选项B正确。设13.2 g固体粉末中含xmolFe,ymol铜,则共反应了铜(y-0.02)mol,

   Fe+2FeCl3  3FeCl2(先)     Cu + 2FeCl3  CuCl2 +2FeCl2(后)

   x   2x            y-0.02  2(y-0.02)

56x+64y13.2

2x+2(y-0.02)0.4

联立解得x = 0.11,y = 0.11,则原混合粉末中n(Fe):n(Cu) = 1:1,选项D错。

同理可得原6 g混合粉末中含铁和铜各0.05 mol,

Fe+ 2FeCl3  3FeCl2(先)    Cu + 2FeCl3  CuCl2 +2FeCl2(后)

试题详情

2.由

试题详情


同步练习册答案