0  266242  266250  266256  266260  266266  266268  266272  266278  266280  266286  266292  266296  266298  266302  266308  266310  266316  266320  266322  266326  266328  266332  266334  266336  266337  266338  266340  266341  266342  266344  266346  266350  266352  266356  266358  266362  266368  266370  266376  266380  266382  266386  266392  266398  266400  266406  266410  266412  266418  266422  266428  266436  447090 

7.为了更好的传承文化,某网站举办“推介中华传统节日,弘扬民族优秀文化”活动,请你从春节、元宵、端午、中秋四个节日中选择一个,描述一个节日的场面。要求:(1)至少运用一种修辞手法;(2)60字左右。(6分)

试题详情

6.把下列带序号的句子组合成语意连贯的一段话并填入横线处。(3分)

任何国家在任何时候都不能忽视粮食安全问题。中国多年来        

①     实现了粮食供应从长期短缺到总量基本平衡、丰年有余的历史性转变

②     以占世界7%的耕地养活了占世界22%的人口

③     使粮食产量不断攀升

④     坚持以自力更生为主的粮食安全战略

⑤     推广良种、改善水利条件、精耕细作

⑥     在上世纪末突破5亿吨大关

试题详情

5.下列文学常识连线对应正确一项是(    )

A.伯尔--被公认为“当代德国的歌德“--《在桥边》

B.伍尔芙--俄国“意识流小说”代表作家--《墙上的斑点》       

C.雨果--法国“现实主义”代表作家--《巴黎圣母院》  

D.蒲宁--英国“现实主义”代表作家--《安东诺夫卡苹果》

试题详情

4、下列选项中没有语病的一项是(   )

A.《炼金术士》是一部以事件辅佐人物成长的小说,它讲述的是西班牙少年圣地亚哥梦见在埃及金字塔附近埋着一批宝藏,在吉卜赛老妇人和撒冷之王麦基洗德的引导下踏上寻梦之旅和抵达梦想。

B.米兰·昆德拉说过,如果小说有某种功能,那就是让人发现事物的模糊性。这说明小说这个文体,不是要将世界简单化,而是将看似简单平凡的事物复杂化。

C.我国煤炭生产的宏观调控,不仅有助于我国的煤炭出口,同时也将对国内正在实施的煤炭走向市场的战略举措,起到极好的推动作用。

D.近年来,我国专利申请一年比一年多,专利申请的持续快速增长,表明国内研究开发水平和社会公众专利意识在不断提高。

试题详情

3、下列选项中加点词语使用错误的一项是(   )

A.这一大群猎人便蜂拥到一个同他们几乎素昧平生的独身地主的庄园里投宿,顿时间,庄园的整个院子闹腾开了……

B.《漫漫天堂路》的作者牧思苦心孤诣十六年,构思这部小说,使其创作不为世俗所左右,而以文学为依归。

C.素芭的这种语言琳琅满目,从蟋蟀鸣叫的草地到星空无言的世界,只有手势、表情、音乐、哭泣和叹息,充盈在那广阔的语言世界。

D.我一直倾听着,期待第一阵响声,它将是一个信号,表示那神秘莫测的遭遇战即将爆发,而老人始终坐在那里。

试题详情

2、选出字形全都正确的一项(   )

A.轮幅  拾掇   戛然   流言飞语  不可明状

B.伫立  毗邻   陷阱   屈尊枉顾  卷帙浩繁

C.合拢  痉孪   麦秸   金壁辉煌  丧失殆尽    

D.分孽  倾圮   揄扬   浮想连翩  名副其实

试题详情

1、下列词语中加点的字读音完全正确的一组是 (   ) 

A.笨(zhuō)  寒(jìng)   品(yàn)   (xū)尊降贵 

B.地(mù)   (qí)长    倾(yà)    (tiǎn)犊情深  

C.一下(liāo)   岸(pù)     摩(suō)   按(nà)不住

D.请(tiě)    发(liǔ)    入(liàn)   跌(dàng)起伏

试题详情

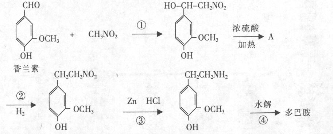
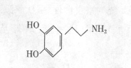
29.(14分)快乐是什么?医学专家通过实验发现:在大脑的相应部位“奖赏中心”,给予柔和的电击.便会处于似乎极度快乐的状态。人们已经将“奖赏中心”个部分的脑电图绘制出来,并认为,在各区域之间传递信息的化学物质是多巴胺,所以“奖赏中心”又称为多巴胺系统。多巴胺结构为:

(1)多巴胺分子式:       

(2)多巴胺可由香兰素合成,合成过程表示如下:

反应①属于--反应,该反应的化学方程式是:        

(3)A的结构简式是:        ,A中含有的官能团是:       

(4)请写出符合下列要求的香兰素的同分异构体

①苯环上只有两个互为对位的取代基

②可以与FeCl3溶液发生显色反应,但不可发生银镜反应

③可以发生水解反应生成两种化合物

                                       30(14分)为了验证甲状腺激素的生理功能,某学习小组设计了以下实验,请分析回答。

实验方法与步骤:

第一步:将体重、日龄、生理状态相同的雄性健康成年大白鼠平均分为两组,分别标记甲和乙。

第二步:将甲组鼠的甲状腺摘除并缝合伤口,乙组鼠不做任何处理。在相同的适宜条件下饲养一段时间,分别测得甲、乙两组鼠的平均耗氧量,记录为A、B。

第三步:除正常饲喂外,每日用灌胃器给甲组鼠灌喂一定量生理盐水配制的甲状腺激素溶液,乙组鼠灌喂等量的生理盐水溶液,在相同的适宜条件下饲养一段时间,分别测定甲、乙两组大白鼠的平均耗氧量,并记录为C、D。

 (实验提示:手术对鼠耗氧量的影响忽略不计)

 实验结果与分析:

   (1)大白鼠的耗氧量A    C(填“<”、“>”或“=”),实验鼠耗氧量的大小主要与        (生理过程)有关,说明甲状腺激素具有促进          

           的生理功能。

   (2)在上述实验中,起对照作用的是         组鼠。

   (3)除上面涉及的生理作用以及提高神经系统的兴奋性外,甲状腺激素还具有 

   生理作用,若通过实验(不考虑手术)证明这一点,最好选用下列四种生物中的

            作为材料,原因是       

   A白鼠   B.青蛙   C.蝌蚪   D兔

31(28分)

  I(14分)某植物的气孔是由叶片表皮上成堆的保卫细胞及其之间的孔隙组成的。它是植物与外界进行气体交换的门户和控制蒸腾作用的结构。下图是气孔张开的调节机理,情分析回答:

  (1)由图可知,引起气孔张开的主要非生物因素之一是         

  (2)晴朗的夏天中午,保卫细胞     (填“吸水”或“失水”),其生理意义是

           ;这会导致保卫细胞和叶肉细胞中C5化合物含量    

  (3)将该植物叶片放入pH=7(此条件下淀粉水解酶活性增高)的溶液中,气孔会    

   若将其放人0.35/mL的蔗糖溶液中,气孔会       

  (4)该植物花瓣中花青素在酸性时呈红色,碱性时呈蓝色,则上午花瓣上的气孔张开时,保卫细胞中的花青素呈       色。

Ⅱ(14分)有一种植物,其花色(白色、蓝色和紫色)是由常染色体上的两对独立遗传的等位基因(A和a、B和b)控制,下图为该植物的花色控制过程。请分析回答。

(1)图中的基因A控制酶1合成的信息传递过程是        

(2)从该植物中直接分离出基因A并成功导人大肠杆菌,但该大肠杆菌不能合成酶1,原 

  因是基因A编码区中含有      ,导致基因不能表达。

(3)现选用白花植株,其线粒体导人抗病基因,与蓝花植株杂交,F,全为抗病紫花植株, 

  则父本和母本控制花色的基因型分别是        。用F1中雌雄植株相互

  杂交,F2的花色表现型及其比例为       

(4)该种植物通常为窄叶,现发现种群中生长着少数阔叶植株。有人认为阔叶性状是基因

  突变所致,也有人认为阔叶植株是多倍体,具有多倍体的特点。请设计一个最简单的实

  验来鉴定阔叶性状的出现是基因突变所致,还是染色体组加倍所致?

广西省柳州二中2010届高中毕业班第三次模拟考试

试题详情

25.(20分)如图所示,在直角坐标系xoy的第二象限中,有方向沿x轴正向的匀强电场E;在第一象限中,边界OM和y轴之间有磁感应强度为B的匀强磁场,方向与纸面垂直,边界OM和x轴之间的夹角=37 0坐标系中有a、b、c、d四点,a、b点坐标分别为(-L,0)、(0,2L).现有一质量为m、电荷量为q的带电粒子(不计重力),由a点以v0初速度(方向沿y轴正向)射入电场,依次经过6点和c点,最后垂直x轴通过d点.(已知:sin370=0.6,cos370=0. 8)求:

(1)电场强度E的大小;

(2)磁感应强度B的大小和方向.

26 (16分)已知将浓盐酸滴入高锰酸钾溶液中,产生黄绿色气体,而溶液的紫红色褪去。现在一氧化还原反应的体系中,共有KCI、C12、H2SO4(浓)、H2O、KMnO4、MnSO4、K2SO4七种物质:

  (1)该氧化还原反应的体系中,还原剂是    ,化合价没有发生变化的反应物是  

  (2)写出一个包含上述七种物质的氧化还原反应方程式(需配平):  

  (3)如果在反应后的溶液中加入NaBiO3溶液又变为紫红色,BiO3-反应后变为无色的Bi3+该实验证明NaBiO3具有       性。写出该反应的离子反应方程式:     

上述反应中,每生成1 mol Bi3+移的电子数为      

27 (14分)已知X、Y、Z、W是短周期元素中的四种非金属元素,它们的原子序数依次增大。X、Y、Z的单质在常温下均为无色气体,Y原子的最外层电子数是内层电子数的2倍。

  (1)Z分子的电子式为:     ;Y的单质有多种,其中可以导电的一种是:   

  (2)在一定条件下,由x单质与z单质反应生成1molE放出的热量为46.2kJ,写出该反应的热 化学方程式:     ;E在催化剂存在的条件下,可用于还原汽车尾气

   中的       ,以减少对大气的污染。

  (3)仅由X、Z、W三种元素组成的某种盐是一种速效化肥,但长期施用会使土壤酸化,有关的离子方程式为        

  (4)工业上可用E的浓溶液来检验输送氯气的管道是否漏气,若漏气时可观察到大量白烟,同时有单质z生成,写出相应的化学方程式:   。该反应中被氧化的E与参与反应的E的质量之比为            

28 (16分)现有某铁碳合金,某化学兴趣小组为了测定铁碳合金中铁的质量分数,并探究浓硫酸的某些性质,设计了下图所示的实验装置和实验方案(夹持仪器已省略),请你回答相应问题。

I探究浓硫酸的某些性质 

  (1)按图示的连接装置,检查装置的气密性,称量E的质量。将mg铁碳合金样品放人A中,再加入适量的浓硫酸。仪器A的名称为        

  (2)未点燃酒精灯前,A、B均无明显现象,其原因是:       

  (3)点燃酒精灯一段时间后,A、B中可观察到明显的现象。B中的现象是    ,由此可得到浓硫酸具有        性。

(4)反应一段时间后,从A中逸出气体的速率仍然较快,除因温度较高,反应放热外,还可能的原因是          

Ⅱ测定铁碳合金中铁的质量分数

  (5)待A中不再逸出气体时,停止加热,拆下E并称重。E增重b g。

   铁碳合金中铁的质量分数为        (写表达式),若撤掉

   装置D,会造成测定结果       (填“偏高”、“不变’’或

   “偏低”)。

  (6)某同学认为上述方法较复杂,使用右图所示的装置和其它常用

   实验仪器测定某些数据即可。该同学的实验方案是:(只需简要

   写出操作步骤及需要测定的数据,不必计算)。       

试题详情

24.(18分)如图所示,有一个竖直固定在地面的透气圆筒,筒中有一轻弹簧,其下端固定,上端连接一质量为m的薄滑块,当滑块运动时,圆筒内壁对滑块有阻力的作用,阻力的大小恒为(g为重力加速度).在初始位置滑块静止,圆筒内壁对滑块的阻力为零,弹簧的长度为l.现有一质量也为m的物体从距地面2l处自由落下,与滑块发生碰撞,碰撞时间极短.碰撞后物体与滑块粘在一起向下运动,运动到最低点后又被弹回向上运动,滑动到初始位置时速度恰好为零,不计空气阻力.求:

(1)物体与滑块碰撞过程中,合力对物体的冲量的大小;

(2)碰撞后,在滑块向下运动到最低点的过程中弹簧弹力所做的功

试题详情


同步练习册答案