0  269203  269211  269217  269221  269227  269229  269233  269239  269241  269247  269253  269257  269259  269263  269269  269271  269277  269281  269283  269287  269289  269293  269295  269297  269298  269299  269301  269302  269303  269305  269307  269311  269313  269317  269319  269323  269329  269331  269337  269341  269343  269347  269353  269359  269361  269367  269371  269373  269379  269383  269389  269397  447090 

19.在△ABC中,a,b,c是三个内角A,B,C的对边,关于x的不等式x2cosC+4xsinC+6<0的解集是空集. 

(1)求∠C的最大值;

(2)若,当∠C取最大值时,求a+b的值.

解:(1)∵不等式x2cosC+4xsinC+6<0的解集是空集,

 

∴∠C的最大值为60°                 

 (2)由余弦定理得c2=a2+b2-2abcosC=(a+b)2-2ab-2abcosC    

试题详情

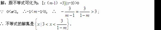
18. 已知,解关于的不等式

试题详情

17.正数数列{an}的前n项和为Sn,且.试求数列{an}的通项公式;

解:∵,∴

则当n≥2时,

an>0,∴

试题详情

16. 设数列的前项和为,有下列四个命题:

①若是等比数列,则也成等比数列;

②若既是等差数列又是等比数列,则

③若,则为等差数列;

④若,则为等比数列.其中正确的命题.②③④

 (填上所有正确的序号)

试题详情

15. 不等式的整数解集为       

试题详情

14. 在ΔABC中,A,B,C的对边分别为a,b,c且a=, b=10, ∠B=45°,则∠A=

试题详情

13. 设数列的首项.则的通项公式为        

试题详情

12. 已知实数,则的整数部分是(  B  )

A.1       B.2      C.3      D.4

试题详情

11. 数列中,已知,则等于( A  )

A.-4        B.5       C.-1        D.4

试题详情

10. 已知数列的通项公式=cosn,为它的前n项和,则( A  )

A.1005      B.1006      C.2009     D.2010

试题详情


同步练习册答案