0  269156  269164  269170  269174  269180  269182  269186  269192  269194  269200  269206  269210  269212  269216  269222  269224  269230  269234  269236  269240  269242  269246  269248  269250  269251  269252  269254  269255  269256  269258  269260  269264  269266  269270  269272  269276  269282  269284  269290  269294  269296  269300  269306  269312  269314  269320  269324  269326  269332  269336  269342  269350  447090 

19.(本小题满分12分)

有甲、乙两箱产品,甲箱共装8件,其中一等品5件,二等品3件;乙箱共装4件,其中一等品3件,二等品1件.现采用分层抽样方法(层内采用不放回简单随机抽样)从甲、乙两箱中共抽取产品3件.

(Ⅰ)求从甲、乙两箱中各抽取产品的件数;

(Ⅱ)求抽取的3件产品中至少有两件为一等品的概率.

试题详情

18.(本小题满分12分)

如图,在四棱锥V-ABCD中,底面ABCD是边长为2的菱形,∠BAD=60°,侧面VAD⊥底面ABCD,VA=VD,E为AD的中点.

(Ⅰ)求证:平面VBE⊥平面VBC;

(Ⅱ)当直线VB与平面ABCD所成的角为30°时,求面VBE与面VCD所成锐二面角的大小.

 

试题详情

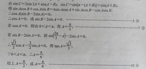
17.(本小题满分10分)

已知△ABC的三个内角A、B、C满足sinC=(1―cosC)=2sin2A+sin(A―B).

求A的大小.

试题详情

16.在△ABC中,∠A=15°,∠B=105°,若以A,B为焦点的椭圆经过点C.则该椭圆的离心率e=     

试题详情

15.在1与6中间插入10个数,使这12个数成等差数列,则这个数列的第6项为    

试题详情

14.不等式组表示的平面区域的面积为     .10

试题详情

13.(1-x)(1+x)7的展开式中x5的系数为    .―14

试题详情

12.6张卡片上分别写有数字1,1,2,3,4,5,从中取4张排成一排,可以组成不同的4位奇数的个数为B

A.180      B.126      C.93   D.60

试题详情

11. 在矩形ABCD中,AB=1,BC=2,沿对角线AC折成直二面角,则折后异面直线AB与CD所成的角为A

A.arccos     B.arcsin       C.arccos    D. arccos

试题详情

10.设,且=sinx+cosx,则B

A.0≤x≤π        B.―≤x≤     

 C.≤x≤       D. ―≤x≤―≤x<

试题详情


同步练习册答案