0  288673  288681  288687  288691  288697  288699  288703  288709  288711  288717  288723  288727  288729  288733  288739  288741  288747  288751  288753  288757  288759  288763  288765  288767  288768  288769  288771  288772  288773  288775  288777  288781  288783  288787  288789  288793  288799  288801  288807  288811  288813  288817  288823  288829  288831  288837  288841  288843  288849  288853  288859  288867  447090 

2.已知角的终边经过点P(4,-3),则等于( )

A.  B.   C.   D.

试题详情

1.两个圆心角相同的扇形的面积之比为1∶2,则两个扇形周长的比为(  )

A.1∶2        B.1∶4       C.1∶      D.1∶8

试题详情

(二)选考题(共15分,请考生从给出的两道题中任选一题做答,并注意所做题目必须与答题纸上对应区域相一致,如果多做,则按所做的第一题计分)

20.(15分)[物质结构与性质]

    X、Y、Z、Q、E五种元素中,X原子核外的M层中只有两对成对电子,Y原子核外的L层电子数是K层的两倍,Z是地壳内含量(质量分数)最高的元素,Q的核电荷数是X与Z的核电荷数之和,E在元素周期表的各元素中电负性最大。请回答下列问题:

   (1)X、Y的元素符号依次为                

(2)XZ2与YZ2分子的立体结构分别是               ,相同条件下两者在水中的溶解度较大的是          (写分子式),理由是           

                

   (3)Q的元素符号是    形成化合物时它的最高化合价为        

(4)用氢键表示式写  ,它属于第          周期,它的核外电子排布式为         ,在出E的氢化物溶液中存在的所有氢键             

                           

21.(15分)[有机化学基础]

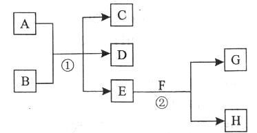
    A和B在一定条件下可合成芳香族化合物E,G在标准状况下是气体,此情况下的密度为1.25 g/L。各物质问相互转化关系如下图所示:

请回答下列问题:  

    (1)G中的官能团是      (用化学式表示),D中的官能团名称是      

    (2)指出反应类型:①       ,②        ,③          

    (3)写出化学方程式:A→C                          

C与新制的氢氧化铜悬浊液反应:                  

    (4)写出满足下列条件的B的同分异构体               

    ①遇FeCl3溶液显紫色 

    ②能发生银镜反应

    ⑨苯环上只有两个取代基

高考

试题详情

(一)必考题(本大题共4小题,共40分)

16.(10分)

    已知A、B、C、D是短周期中的四种非金属元素,它们的原子序数依次增大,四种元素的原子最外层电子数之和为16,A与B、C、D之间均可形成含有10个电子或18个电子的化合物,且A、D组成的化合物在常温下呈液态。

   (1)A、C两种元素组成的10个电子化合物的空间构型是          ,电子式为           

   (2)B单质在高温下可从A与D组成的某种化合物中置换出A,同时生成化合物BD,该反应的化学方程式为                 

   (3)A、C、D三种元素原子半径由小到大的顺序是(用元素符号表示)         

由A与C、A与D构成的两种分子,结合H+的能力           强(填化学式),用离子方程式表示这一事实:                 

   (4)A、B、D三种元素形成的具有18个电子的化合物的结构简式为        

   (5)这四种元素可组成原子个数比为5:l:l:2(按A、B、C、D顺序)的化合物,其名称

                    

17.(10分)

    在下列各变化中,E为无色无味的液体(常温下),F为淡黄色粉末,G为常见的无色气体(反应条件均已省略)。

回答下列问题:

(1)在反应②中,每生成2.24 L气体G(标准状况)时,该反应转移电子的物质的量是       

                           .

   (2)若反应①在溶液中进行,A、C、D均含氯元素,且A中氯元素的化合价介于C与D之间。则反应①的离子方程式为               

   (3)若反应①在加热条件下进行,且C、D是两种均能使澄清石灰水变浑浊的无色气体,则反应①的化学方程式是                       

   (4)若反应①在溶液中进行,A是一种强碱,B是一种酸式盐,D是一种气体,且B遇盐酸有气体产生。在加热条件下,当A过量时,反应①的离子方程式是       

   (5)若反应①在溶液中进行,A是一种强酸,B是一种含有两种金属元素的盐,且B的水溶液显碱性,A、B均由短周期元素组成,当A过量时,C及D均易溶于水。则A过量

时反应①的化学方程式是                           。

18.(12分)

    铁、铜及其化合物在工农业生产以及日常生活中有着重要的应用。

   I.在高温下,向炽热的Cu2S中通入足量的水蒸气,生成金属铜,同时生成两种物质的量之比为2:1的气体,其中一种气体是造成酸雨的主要因素。

   (1)写出该反应的化学方程式                        

   (2)该反应中被氧化的元素是            ;被还原的元素是      

II.硫酸亚铁晶体(FeSO4·7H2O)在医药上作补血剂。某课外小组测定该补血剂中铁元素的含量。实验步骤如下:

   请回答下列问题:

   (1)步骤②加入过量H2O2的目的:                   

   (2)步骤③中反应的离子方程式:                       

   (3)步骤④中一系列处理的操作步骤:      、洗涤、灼热、      、称量。

   (4)该小组有些同学认为用KMnO4溶液滴定也能进行铁元素含量的测定。

①实验前,首先要精确配制一定物质的量浓度KMnO4溶液250 mL,僭己制时需要的仪器除天平、玻璃棒、烧杯、量筒、药匙、胶头滴管外,还需          

②上述实验中的KMnO4溶液需要酸化,用于酸化的酸是          。(填编号)

   A.稀硝酸          B.稀硫酸          C.稀盐酸          D.浓硝酸

19.(8分)

    氮化硅(Si3N4)是一种新型陶瓷材料,它可由石英与焦炭在高温的氮气流中。通过以下反应制得

   (1)配平上述反应的化学方程式(将化学计量数填在方框内)       

   (2)该反应的氧化剂是          ,其还原产物是        

   (3)该反应的平衡常数表达式为K=         

   (4)若知上述反应为放热反应,则其反应热H      零(填“大于”、“小于”或“等于”);升高温度,其平衡常数值         (填“增大”、“减小”或“不变”);

   (5)若使压强增大,则上述平衡向       反应方向移动(填“正”或“逆”);

   (6)若已知CO生成速率v(CO)=18 mol·L-1·min-1,则N2消耗速率为v(N2)=   

mol·L-1·min-1

试题详情

15.某同学研究铝及其化合物的性质设计了如下两个实验方案。

  方案①:氢氧化铅沉淀

  方案②:氢氧化铝沉淀

NaOH和HCl的浓度均是3 mol/L,下图是向X溶液和Y溶液中分别加入NaOH和HCl时产生沉淀的物质的量与加入盐酸和氢氧化钠溶液体积之间的关系,下列说法不正确的是

    A.b曲线表示的是向x溶液中加入NaOH溶液

    B.在O点时两方案中所得溶液浓度相等

    C.a、b曲线表示的反应都是非氧化还原反应

    D.X溶液显酸性,Y溶液显碱性

第II卷(非选择题,共55分)

试题详情

14.钢铁生锈过程发成液态水放出的热量大于241.8 kJ

     D.断开l mol H2O的化学生如下反应:①;

   ②;③。下列说法正确的是

     A.反应①、②中电子转移数目相等

     B.反应①中氧化剂是氧气和水

     C.与铜质水龙头连接处的钢质水管不易发生腐蚀

     D.钢铁在潮湿的空气中不能发生电化学腐蚀

试题详情

13.已知kJ/mol。下列说法中不正确的是

     A.H2的燃烧热为241.8 kJ/mol

     B.

     C.1 mol H2完全燃烧生键吸收的总能量大于断裂l mol H2和0.5 mol O2的化学键所吸收的总能量 

试题详情

12.在25℃时,密闭容器中X、Y、Z三种气体的初始浓度和平衡浓度如下表:

物质
X
Y
Z
初始浓度/mol·L-1
0.1
0.2
0
平衡浓度/mol·L-1
0.05
0.05
0.1

下列说法错误的是:

     A.反应达到平衡时,X的转化率为50%

     B.反应可表示为X+3Y 2Z,其平衡常数为1600

     C.增大压强使平衡向生成Z的方向移动,平衡常数增大

     D.改变温度可以改变此反应的平衡常数

试题详情

11.对于醋酸溶液的下列说法中,不正确的是

     A.醋酸溶液中离子浓度的关系满足:

     B.醋酸溶液中加入少量醋酸钠晶体,醋酸电离程度减小

     C.0.1mol/L的醋酸溶液中加水稀释,溶液中c(OH-)减小

     D.常温下,pH=3的醋酸溶液与pH=11的烧碱溶液等体积混合后,溶液中

试题详情

10.根据下表的信息,判断以下叙述正确的是

  表:部分短周期元素的原子半径及主要化合价

元素代号
L
M
Q
R
T
原子半径/nm
0.160
0.143
0.112
0.104
0.061
主要化合价
+2
+3
+2
+6、-2
-2

     A.氢化物的还原性:H2R<H2T

     B.单质与稀盐酸反应的速率:L<Q

     C.在水溶液中得不到M与R的化合物

     D.L2+与R2-的核外电子数相等

试题详情


同步练习册答案