0  288785  288793  288799  288803  288809  288811  288815  288821  288823  288829  288835  288839  288841  288845  288851  288853  288859  288863  288865  288869  288871  288875  288877  288879  288880  288881  288883  288884  288885  288887  288889  288893  288895  288899  288901  288905  288911  288913  288919  288923  288925  288929  288935  288941  288943  288949  288953  288955  288961  288965  288971  288979  447090 

22. (本小题满分12分)

    已知函数

    (I)数列满足,求数列的通项公式;

    (II)数列满足:,若对任意的恒成立,试求的取值范围;

    (III)数列满足:,记为数列的前项和,为数列的前项积。

    (文)比较的大小

    (理)证明:

试题详情

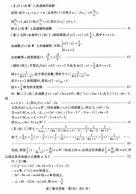
21. (本小题满分12分)

    (文)设函数

    (I)对于任意实数恒成立,求实数的最大值;

    (II)若方程有且仅有一个实根,求实数的取值范围;

    (理)已知函数

    (I)当时,求在区间上的最大值和最小值;

    (II)在区间上,若恒成立,求的取值范围。

试题详情

20. (本小题满分12分)

    已知二次函数的图象经过坐标原点,其导函数为,数列的前项和为,点均在函数的图像上。

    (I)求数列的通项公式;

    (II)设是数列的前项和,求使得对所有都成立的最小正整数

试题详情

19. (本小题满分12分)

    设函数是定义在上的函数,并且满足下面三个条件:(1)对正数都有(2)当时,;(3)

    (I)求的值;

    (II)判断函数的单调性,并证明。

    (III)(文)如果不等式成立,求的取值范围。

     (理)如果存在正数,使不等式有解,求正数的取值范围。

试题详情

18. (本小题满分12分)

    用长为24m的钢条围成一个长方体性状的框架,要求长方体的长与宽之比为3:1,问该长方体长、宽、高各为多少时,其体积最大?最大体积是所少?

试题详情

17. (本小题满分10分)

   已知函数为偶函数,且其图像上相邻的一个最高点和最低点之间的距离为

    (I)求的解析式;

    (II)若,求的值。

试题详情

16. 已知某型号进口仪器每台降价成(1成为10%),那么售出数量就增加成( 常数),当某商场定价为每台元时,售出台,设降价后的营业额是每台降价成的函数,当时,每台降价      成时,营业额最大,最大值为    元。

试题详情

15.已知函数,则它的值域为         

试题详情

14. (文)曲线在点处的切线方程是       

(理)     

试题详情

13. 已知函数的图象与轴的交点至少有一个原点的右侧,则实数的取值范围为      

试题详情


同步练习册答案