0  289420  289428  289434  289438  289444  289446  289450  289456  289458  289464  289470  289474  289476  289480  289486  289488  289494  289498  289500  289504  289506  289510  289512  289514  289515  289516  289518  289519  289520  289522  289524  289528  289530  289534  289536  289540  289546  289548  289554  289558  289560  289564  289570  289576  289578  289584  289588  289590  289596  289600  289606  289614  447090 

1.(2010四川理)(22)(本小题满分14分)

(),g(x)是f(x)的反函数.

(Ⅰ)设关于的方程求在区间[2,6]上有实数解,求t的取值范围;

(Ⅱ)当ae(e为自然对数的底数)时,证明:

(Ⅲ)当0<a≤时,试比较与4的大小,并说明理由.

本小题考产函数、反函数、方程、不等式、导数及其应用等基础知识,考察化归、分类整合等数学思想方法,以及推理论证、分析与解决问题的能力.

解:(1)由题意,得ax>0

g(x)=x∈(-∞,-1)∪(1,+∞)

t=(x-1)2(7-x),x∈[2,6]

t'=-3x2+18x-15=-3(x-1)(x-5)

列表如下:

x
2
(2,5)
5
(5,6)
6
t'
 
+
0
-
 
t
5

极大值32

25

所以t最小值=5,t最大值=32

所以t的取值范围为[5,32]……………………………………………………5分

(2)

      =ln()

      =-ln

u(z)=-lnz2=-2lnz+zz>0

u'(z)=-=(1-)2≥0

所以u(z)在(0,+∞)上是增函数

又因为>1>0,所以u()>u(1)=0

ln>0

………………………………………………………………9分

(3)设a,则p≥1,1<f(1)=≤3

n=1时,|f(1)-1|=≤2<4

n≥2时

k≥2,kN *时,则f(k)=

             =1+

所以1<f(k)≤1+

从而n-1<n-1+n+1-n+1

所以nf(1)+n+1≤n+4

综上所述,总有|n|<4

试题详情

1.(2010上海文)9.函数的反函数的图像与轴的交点坐标是     

答案 (0,-2)

解析:考查反函数相关概念、性质

法一:函数的反函数为,另x=0,有y=-2

法二:函数图像与x轴交点为(-2,0),利用对称性可知,函数的反函数的图像与轴的交点为(0,-2)

试题详情

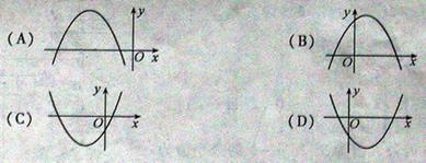
15.(2010安徽理)6、设,二次函数的图象可能是

答案 D

[解析]当时,同号,(C)(D)两图中,故,选项(D)符合.

[方法技巧]根据二次函数图像开口向上或向下,分两种情况分类考虑.另外还要注意c值是抛物线与y轴交点的纵坐标,还要注意对称轴的位置或定点坐标的位置等.

试题详情

14.(2010四川文)(2)函数y=log2x的图象大致是

(A)        (B)       (C)       (D)

答案 C

解析:本题考查对数函数的图象和基本性质.

试题详情

13.(2010全国卷1文)(7)已知函数.若且,,则的取值范围是

(A)   (B)(C)   (D)

答案 C

[命题意图]本小题主要考查对数函数的性质、函数的单调性、函数的值域,考生在做本小题时极易忽视a的取值范围,而利用均值不等式求得a+b=,从而错选D,这也是命题者的用苦良心之处.

[解析1]因为 f(a)=f(b),所以|lga|=|lgb|,所以a=b(舍去),或,所以a+b=

又0<a<b,所以0<a<1<b,令由“对勾”函数的性质知函数(0,1)上为减函数,所以f(a)>f(1)=1+1=2,即a+b的取值范围是(2,+∞).

[解析2]由0<a<b,且f(a)=f(b)得:,利用线性规划得:,化为求的取值范围问题,过点时z最小为2,∴(C)

试题详情

12.(2010天津文)(6)设

(A)a<c<b   (B) )b<c<a  (C) )a<b<c   (D) )b<a<c

答案 D

[解析]本题主要考查利用对数函数的单调性比较大小的基本方法,属于容易题。

因为

[温馨提示]比较对数值的大小时,通常利用0,1进行,本题也可以利用对数函数的图像进行比较。

试题详情

11.(2010四川理)(3)2log510+log50.25=

(A)0     (B)1     (C) 2     (D)4

解析:2log510+log50.25

=log5100+log50.25

=log525

=2

答案 C

试题详情

10.(2010北京文)⑷若a,b是非零向量,且,则函数

  (A)一次函数且是奇函数    (B)一次函数但不是奇函数

  (C)二次函数且是偶函数    (D)二次函数但不是偶函数

答案 A

试题详情

9.(2010北京文)(6)给定函数①,②,③,④,期中在区间(0,1)上单调递减的函数序号是

(A)①②  (B)②③   (C)③④   (D)①④

答案 B

试题详情

8.(2010山东文)(3)函数的值域为

A.      B.      C.        D.

答案 A

试题详情


同步练习册答案