0  295405  295413  295419  295423  295429  295431  295435  295441  295443  295449  295455  295459  295461  295465  295471  295473  295479  295483  295485  295489  295491  295495  295497  295499  295500  295501  295503  295504  295505  295507  295509  295513  295515  295519  295521  295525  295531  295533  295539  295543  295545  295549  295555  295561  295563  295569  295573  295575  295581  295585  295591  295599  447090 

13.如图2-60是测量电源电动势和内电阻的电路,关于误差说法正确的是

A.由于电流表的分压作用,使内电阻的测量值小于真实值;

B.由于电流表的分压作用,使内电阻的测量值大于真实值;

C.由于电压表的分流作用,使内电阻的测量值小于真实值;

D.测出的电动势比真实值小.

试题详情

12.在测定电源的电动势和内阻的实验中,待测电池、开关和导线配合下列哪组仪器,可以达到测定目的(   )

A.一只电流表和一个滑动变阻器    B.一只电流表和一只电压表

C.一只电流表和一个电阻箱      D.一只电压表和一个电阻箱

试题详情

11.如图10-2-16(甲)所示电路,电源电动势为E,内阻不计,滑动变阻器的最大阻值为R,负载电阻为R0.当滑动变阻器的滑动端S在某位置时,R0两端电压为E/2,滑动变阻器上消耗的功率为P.若将R0与电源位置互换,接成图(乙)所示电路时,滑动触头S的位置不变,则(    )

A.R0两端的电压将小于E/2

B.R0两端的电压将等于E/2

C.滑动变阻器上消耗的功率一定小于P

D.滑动变阻器上消耗的功率可能大于P

试题详情

10.在图6中,A. B两图分别为测灯泡电阻 R的电路图,下述说法正确的是 [  ] 

A. A图的接法叫电流表外接法,B图的接法叫电流表的内接法

 B.A中R <R,B中R>R

 C.A中误差由电压表分流引起,为了减小误差,就使R<<Rv,故此法测较小电阻好

 D.B中误差由电流表分压引起,为了减小误差,应使R>>RA,故此法测较大电阻好

试题详情

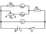
9.在如图所示的电路中,E为电源电动势,r为电源内阻,R1和R3均为定值电阻,R2为滑动变阻器。当R2的滑动触点在a端时合上开关S,此时三个电表A1A2和V的示数分别为I1I2和U。现将R2的滑动触点向b端移动,则三个电表示数的变化情况是(  )

A.I1增大,I2不变,U增大

B.I1减小,I2增大,U减小                 

C.I1增大,I2减小,U增大

D.I1减小,I2不变,U减小   

试题详情

8. 已知电路如图,三只电压表V1、V2、V3的示数依次为U1、U2、U3。滑动变阻器R1的滑动触头向右移动过程,电压表V1、V2、V3的示数都发生了变化。设它们变化量的绝对值依次为ΔU1、ΔU2、ΔU3,下列说法中正确的是:

A.U1增大,U2减小,U3增大      B. ΔU1>ΔU3

   C. ΔU3>ΔU2            D. ΔU1=ΔU2+ΔU3

试题详情

7.如图2-35所示电路中,电源电动势为E,内阻为r,电路中O点接地,当滑动变阻器的滑片P向右滑动时,M、N两点电势变化情况是(   )

A.都升高      B.都降低

C.M点电势升高,N点电势降低

D.M点电势降低,N点电势升高

试题详情

6.某仪器内部电路如图所示,其中M是一个质量较大的金属块,左右两端分别与金属丝制作的弹簧相连,并套在光滑水平细杆上,abc三块金属片的间隙很小(b固定在金属块上)。当金属块处于平衡时两根弹簧均处于原长状态。若将该仪器固定在一辆汽车上,则下列说法正确的是(   )

A.当汽车加速前进时,甲灯亮

B.当汽车加速前进时,乙灯亮

C.当汽车刹车时,乙灯亮

D.当汽车刹车时,甲、乙灯均不亮

试题详情

5、利用滑动变阻器来改变用电器R0上所得到的电压可以有图3中甲、乙两种电路。用R表示滑动变阻器的全部阻值。选择哪个电路更合适,以下叙述中正确的是 ( )

A.若R0>>R,则采用电路甲比较合适

B.若R0>>R,则采用电路乙比较合适

C.若R0≈R,则甲、乙电路都不合适              

D.两种电路都能使R0上的电压改变,因此两种电路都适合.

试题详情

4、如图所示为用直流电动机提升重物的装置,重物的重量为500N,电源电动势为110V,不计电源内阻及各处摩擦,当电动机以0.90m/s的恒定速度向上提升重物时,电路中的电流为5.0A,可以判断:(   )

A、电动机消耗的总功率为550W   B、提升重物消耗的功率为450W

C、电动机线圈的电阻为22Ω    D、电动机线圈的电阻为4Ω

试题详情


同步练习册答案