0  316891  316899  316905  316909  316915  316917  316921  316927  316929  316935  316941  316945  316947  316951  316957  316959  316965  316969  316971  316975  316977  316981  316983  316985  316986  316987  316989  316990  316991  316993  316995  316999  317001  317005  317007  317011  317017  317019  317025  317029  317031  317035  317041  317047  317049  317055  317059  317061  317067  317071  317077  317085  447090 

14.(10分)如图甲所示,质量为m=1kg的物体置于倾角为θ=37°固定斜面上(斜面足够长),对物体施加平行于斜面向上的恒力F,作用时间t1=1s时撤去拉力,物体运动的部分v-t图像如图乙所示,取g=10m/s2。试求:

(1)物体与斜面间的动摩擦因数和拉力F的大小;

(2)t=6s时物体的速度,并在乙图上将t=6s内物体运动的v – t图象补画完整,要求标明有关数据;

试题详情

13.(10分)地球以角速度绕地轴自转,一只热气球相对地面静止在赤道上空(不计气球离地高度),已知地球半径为R,在距地面h高处的圆形轨道上有一颗人造地球卫星,设地球质量为M,热气球的质量为m,人造地球卫星的质量为m1,根据上述条件,有一位同学列出了以下两个式子:

对热气球有:               (1)

对人造地球卫星有:   (2)

进而求出了人造地球卫星绕地球运行的角速度

这两个式子中有一个是错误的,找出来,并说明理由。现补充一个条件:已知第一宇宙速度为v1,求距地h处的人造地球卫星绕地球运行的角速度

试题详情

12.(16分)像打点计时器一样,光电计时器也是一种研究物体运动情况的常用计时仪器,其结构如图所示,a、b分别是光电门的激光发射和接收装置,当有物体从a、b间通过时,光电计时器就可显示物体挡光时间。

现利用图示装置测量滑块和长1m左右的木板间的动摩擦因数,图中MN是水平桌面,

Q是木板与桌面的接触点,1和2是固定在木板上适当位置的两个光电门,与之连接的两个光电计时器没有画出。此外在木板顶端的P点还悬挂着一个铅锤,让滑块从木板的顶端滑下,光电门1、2各自连接的计时器显示的挡光时间分别为5.0×10-2s和2.0×10-2s.用游标卡尺测量小滑块的宽度d,卡尺数如图所示。

(1)读出滑块的宽度d=______cm.

(2)滑块通过光电门1的速度v1=______/s,滑块通过光电门2的速度v2=_______m/s。(取三位有效数字)

(3)若仅提供一把米尺,已知当地重力加速度为g,为完成测量,除了研究v1、v2和两个光电门之间的距离L外,还需要测量的物理量是_________(说明各量的物理意义,同时指时代表物理量的字母)。

(4)用(3)中各量求解动摩擦因数的表达式_____________________(字母表示)

试题详情

11.(10分)(1)某同学要进行探究小车速度随时间变化的规律实验,请在下面列出的实验器材中,选出本实验中不需要的器材填在横线上(填编号):         

①打点计时器  ②天平  ③低压交流电源  ④低压直流电源  ⑤细绳和纸带  ⑥钩码和小车  ⑦秒表  ⑧一端有滑轮的长木板  ⑨刻度尺

(2)某同学利用打点计时器所记录的纸带来研究做匀变速直线运动小车的运动情况,实验中获得一条纸带,如图所示,其中两相邻计数点间有四个点未画出。已知所用电源的频率为50HZ,则打A点时小车运动的速度vA=_______m/s,小车运动的加速度a=_______m/s2。(结果要求保留三位有效数字)

 

试题详情

10.如图所法,一带正电小球穿在一根绝缘的粗糙直杆上,杆与水平方向成θ角,整个空间存在着竖直向上的匀强电场和垂直于纸面向外的匀强磁场,小球沿杆向下运动。在A点时的动能为100J,在C点的动能减为零,B为AC的中点,在运动过程中下列说法正确的是(   )

    A.小球在B点时的动能为50J

B.小球电势能的增加量等于重力势能的减小量

C.小球在AB段克服摩擦力做的功与在BC段克服摩擦力做的功相等

D.到达C点后小球可能沿杆向上运动

试题详情

8.如图所示,波源S从平衡位置y=0开始振动,运动方向竖直向上(y轴的正方向),振动周期T=0.01s,产生的机械波向左、右两个方向传播,波速均为v=80m/s,经过一段时间后,PQ两点开始振动,已知距离SP=1.2m、SQ=2.6m.若以Q点开始振动的时刻作为计时的零点,则在下图所示的四幅振动图象中,能正确描述SPQ三点振动情况的是(   )

A.甲为Q点的振动图象  

B.乙为振源S点的振动图象

C.丙为P点的振动图象  

D.丁为P点的振动图象

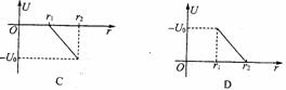
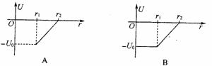
高考9.质子和中子是由更基本的粒子即所谓“夸克”组成的。两个强作用荷相反(类似于正负电荷)的夸克在距离很近时几乎没有相互作用(称为“渐近自由”);在距离较远时,它们之间就会出现很强的引力(导致所谓“夸克禁闭”)。作为一个简单的模型,设这样的两夸克之间的相互作用力F与它们之间的距离r的关系为F= 式中F0为大于零的常量,负号表示引力。用U表示夸克间的势能,令U0=F0(r2-r1),取无穷远为零势能点。图中U-r图示正确的是(   )

试题详情

7.如图所示,一根不可伸长的轻绳跨过固定于斜面体顶端的小滑轮O,两端分别系着小球A和物块B,倾角为30°的斜面体置于水平地面上。A的质量为m,B的质量为4m。开始时,用手托住A,使OA段绳恰处于水平伸直状态(绳中无拉力),OB绳平行于斜面,此时B静止不动。将A由静止释放,在其下摆过程中,斜面体始终保持静止,下列判断中正确的是(    )

    A.物块B受到的摩擦力先减小后增大   B.地面对斜面体的摩擦力方向一直向右

C.小球A的机械能守恒       D.小球A的机械能不守恒,A、B系统的机械能守恒

试题详情

6.把一个物体竖直向上抛出,从开始抛出到返回抛出点所经历的时间是t,上升的最大高度是h,所受空气阻力大小恒为f,则在t时间内(    )

    A.物体所受重力的冲量为零  

B.上升过程中空气阻力对物体的冲量比下降过程中的冲量小

C.物体动量变化的数值小于抛出时的动量数值

D.物体机械能的减小量等于fh

试题详情

5.一滑块在水平地面上沿直线滑行,t=0时速度为1 m/s,从此时刻开始在滑块运动直线上再施加一水平作用力F,力F和滑块的速度v随时间的变化规律分别如图所示.设在第1s、第2s、第3s内力F对滑块做的功分别为W1、W2、W3,则以下关系正确的是    (   )

    A.    

B.    

C.    

D.

试题详情

4.2007年11月5日,“嫦娥一号”探月卫星沿地月转移轨道到达月球,在距月

  球表面200km的点进行第一次刹车制动后被月球俘获,进入椭圆轨道Ⅰ

绕月飞行,然后,卫星在点又经过两次“刹车制动”,最终在距月球表面

200km的圆形轨道Ⅲ上绕月球做匀速圆周运动,如图所示,则下列说法正确

的是(   )

A.卫星在轨道Ⅲ上运动的周期比沿轨道Ⅰ运动的周期长

B.卫星在轨道Ⅲ上运动的周期比沿轨道Ⅰ运动的周期短

C.卫星在轨道Ⅲ上运动的加速度小于沿轨道Ⅰ运动到点时的加度度

D.卫星在轨道Ⅲ上运动的加速度等于沿轨道Ⅰ运动到点时的加速度

试题详情


同步练习册答案