0  318477  318485  318491  318495  318501  318503  318507  318513  318515  318521  318527  318531  318533  318537  318543  318545  318551  318555  318557  318561  318563  318567  318569  318571  318572  318573  318575  318576  318577  318579  318581  318585  318587  318591  318593  318597  318603  318605  318611  318615  318617  318621  318627  318633  318635  318641  318645  318647  318653  318657  318663  318671  447090 

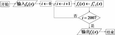
11、在如下程序框图中,输入,则输出的是___  

试题详情

10、若函数的图象存在有零点,则m的取值范围是           

试题详情

9、过椭圆的左顶点作斜率为1的直线与该椭圆的另一个交点

,与轴的交点为,若,则该椭圆的离心率为       

试题详情

8、等比数列中,,等比数列的前11项积为=     

试题详情

7、已知:在中,的面积,则         

试题详情

6、若,则       

试题详情

5、已知=(-3,2)  =(-1,0),向量垂直,则实数的值为      

试题详情

4、已知为两条不同的直线,为两个不同的平面,

则下列命题中正确的序号    

(1)  (2)

(3)      (4)

试题详情

3、有四个关于三角函数的命题:

(1)xR, +=    (2)x、yR, sin(x-y)=sinx-siny

(3) x,=sinx   (4)sinx=cosyx+y=

其中假命题的序号是      

试题详情

2、复数满足(1+)z=  则=       ;

试题详情


同步练习册答案