0  336407  336415  336421  336425  336431  336433  336437  336443  336445  336451  336457  336461  336463  336467  336473  336475  336481  336485  336487  336491  336493  336497  336499  336501  336502  336503  336505  336506  336507  336509  336511  336515  336517  336521  336523  336527  336533  336535  336541  336545  336547  336551  336557  336563  336565  336571  336575  336577  336583  336587  336593  336601  447090 

21.(满分12分)已知函数上是增函数。

(Ⅰ)求的取值范围;

(Ⅱ)在(Ⅰ)的结论下,设,求函数的最小值。

试题详情

20.(满分12分)

数列满足

  (1)求

  (2)求证数列{}是以为公比的等比数列,并求其通项公式;

  (3)设.

试题详情

19.(满分12分)已知四面体ABCD(图1),沿AB、AC、AD剪开,展成的平面图形正好是图2所示的直角梯形A1A2A3D(梯形的顶点A1、A2、A3重合于四面体的顶点A)。

  (I)证明:AB⊥CD;

  (II)当A1D=10,A1A2=8时,求四面体ABCD的体积。

 

试题详情

17(满分12分)△ABC中,a、b、c分别是角A、B、C的对边,若

  (1)求角A的值;

  (2)在(1)的结论下,若0≤x≤,求y=cos2x+sinA•sin2x的最值。

18.(满分12分)现有2009年全运会志愿者名,其中志愿者通晓日语,通晓俄语,通晓韩语.从中选出通晓日语、俄语和韩语的志愿者各名,组成一个小组.

(1)求被选中的概率;

(2)求不全被选中的概率.

试题详情

16.关于函数有下列命题:

   ①由,可得x1-x2必是π的整数倍;

的表达式可改写为

的图象关于点(-,0)对称;

的图象关于直线x=-对称。

其中正确的命题的序号是           。(把你认为正确的命题的序号都填上)

试题详情

15. 已知两个不相等的实数满足以下关系式:   

 

则连接A B两点的直线与圆心在原点的单位圆的   位置关系是      

试题详情

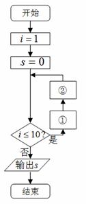
14.右面是计算的程序框图,图中的①、②分别是

       和_______ ______.

试题详情

13.双曲线的左右焦点分别为,已知线段被点分成两段,则此双曲线的离心率为____________________.

试题详情

12.定义在R上的函数f(x),若,则下列各式正确的是        (   )

    A.                        B.

    C.             D.大小不定

第Ⅱ卷   (非选择题  共90分)

试题详情

11.已知则关于的方程有实根的概率是  (   )

    A.          B.          C.          D.

试题详情


同步练习册答案