0  336510  336518  336524  336528  336534  336536  336540  336546  336548  336554  336560  336564  336566  336570  336576  336578  336584  336588  336590  336594  336596  336600  336602  336604  336605  336606  336608  336609  336610  336612  336614  336618  336620  336624  336626  336630  336636  336638  336644  336648  336650  336654  336660  336666  336668  336674  336678  336680  336686  336690  336696  336704  447090 

6.在等差数列中,若.则的前IO项和

(A)70   (B)80   (C)90   (D)IOO

试题详情

5.某篮球运动员在三分线投篮的命准率为,他投篮5次,恰好投准3次的概率为

(A)    (B)    ( C)   (D)

试题详情

4.下列四个数中,最大的一个是

  (A)   (B)   (C)   (D)

试题详情

3.在△ABC中,若,则△ABC的形状为

  (A)直角三角形   (B)等边三角形   (c)等腰三角形   (D)等腰直角三角形

试题详情

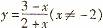
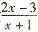
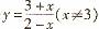
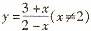
2.  函数的反函数为

   (A)  (B)  (C)  (D)

试题详情

1.已知集合.则=

   (A)   (B)   (C)   (D)

试题详情

21.请以“言与行”为题写一篇作文。

   要求:①立意自定;②除诗歌外文体不限;③不少于800字;④不要套作,不得抄袭。

试题详情

20.仿照下面一段话,另选一景物对象进行描写。要求内容结构层次基本一致,句式基本一致,并运用比喻、引用和排比的修辞手法。  (7分)

   抚仙湖是云贵高原上一颗晶莹的明珠,湖水清澈,诗人们形容它为“琉璃万顷”。

   波涛翻动时,白浪如朵朵睡莲竞相开放,又似串串银链舞动;风平浪静时,如明镜般一片澄清。远山近水,满目清新,使人心旷神怡。

试题详情

19.“上海市青少年迎世博百万笑脸征集活动”早在2009年6月起就已在上海展开,参与征集活动的大学生志愿者达480多名,累计志愿服务时间超过1万个小时。截至2010年1月,志愿者们用相机征集到的笑脸数量己突破40万个。、假如你负责在你们学校征集

笑脸,请你为活动写一则宣传语。要求语言得体、连贯、鲜明、生动。(4分)

试题详情

18.概括下面一则消息的主要信息,不超过40字。  (4分)

   北京时间1月13日凌晨,海地遭遇200年以来最强烈的地震,震级为里氏7.3级。据了解,目前强震造成的死亡人数可能高达10万人,海地首都太子港几乎被夷为平地,许多建筑和小区被彻底震毁,近200名联合国雇员失踪,8名中国维和人员被埋,震后平民的具体伤亡情况还有待进一步确定。 

   壹基金作为中国第一个对灾情做出反应的民间公益组织,于1月14日决定通过中国红十字总会捐助10万美元赈济海地地震灾区,并向此次受灾民众表示深切的慰问。  

试题详情


同步练习册答案