0  336519  336527  336533  336537  336543  336545  336549  336555  336557  336563  336569  336573  336575  336579  336585  336587  336593  336597  336599  336603  336605  336609  336611  336613  336614  336615  336617  336618  336619  336621  336623  336627  336629  336633  336635  336639  336645  336647  336653  336657  336659  336663  336669  336675  336677  336683  336687  336689  336695  336699  336705  336713  447090 

24.(16分)如图所示,A、B两球质量分别为4m和5m,其间用轻绳连接,跨放在光滑的半圆柱体上(半圆柱体的半径为R)。两球从水平直径的两端由静止释放。已知重力加速度为g,圆周率用∏表示不需代入具体数值。当球A到达最高点C时,求:

  (1)球A的速度大小;

  (2)球A对圆柱体的压力。

试题详情

23.(10分)现要测量某一电流表的内阻。给定器材有:

  (A)待测电流表 (量程300,内阻.约为IOOΏ)

  (B)电压表(量程3V,内阻约为5KΏ)

  (C)电源E(电动势4V.内阻忽略不计)

  (D)定值电阻

  (E)滑动变阻器(阻值范围0- 20Ώ,允许通过的最大电流0.5A)

  (F)电键S-个,导线若干要求测量时两电表指针的偏转均超过其量程的一半。

  (1)在方框中画出电路原理图。

  (2)电路接通后,测得电压表的读数为U,电流表的读数为,用已知和测得的物理量表示电流表内阻=____。

试题详情

22.(8分)某同学用如图甲所示的实验装置,做《用双缝干涉测光的波长》的实验,他用带有游标尺的测量头(如图乙所示)测量相邻两条亮条纹间的距离△x。转动测量头的手轮,使分划板的中心刻线对齐某一条亮条纹(将这一条纹确定为第一亮条纹)的中心,此时游标尺上的示数情况如图丙所示;转动测量头的手轮,使分划板的中心刻线对齐第6亮条纹的中心,此时游标尺上的示数情况如图丁所示,则图丙的示数=____ mm;图丁的示数=____     mm。如果实验中所用的双缝间的距离d=0.20mm,双缝到屏的距离L=60cm,则计算波长的表达式=__________ (用已知量和直接测量量的符号表示)。根据以上数据可得实验中测出的光的波长=_________m

试题详情

2.答卷前将答题纸密封线内的项目填写清楚。

试题详情

21.如图所示,不计滑轮质量与摩擦,重物挂在滑轮下,绳A端固定将B端绳由B移到C或D(绳长不变)其绳上张力分别为夹角分别为则   (  )

( A)  

(B)

(C)  

( D)

第Ⅱ卷   (非选择题,共10小题,共174分)

注意:1.用钢笔或圆珠笔直接答在试题卷中。

试题详情

20.如图所示,质量为M的条形磁铁与质量为m的铝环,都静止在光滑水平面上,当在极短时间内给铝环水平向右的冲量,,使环向右运动,在以后的运动中铝环平面保持与磁铁的轴线垂直,且铝环与磁铁没有发生碰撞,则下列说法正确的是   (   )

(A)在铝环向右运动的过程中磁铁却也向右运动

(B)磁铁运动的最大速度为

(C)铝环在运动过程中最多产生热量为

(D)铝环在运动过程中,动能最小值为

试题详情

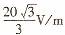
19.如图所示,A、B、C、D、E、F,为匀强电场中一个边长为10cm的正六边形的六个顶点,A、B、C三点电势分别为1 .0v、2.OV、3.Ov,则下列说法正确的是   (   )

(A)匀强电场的场强大小为10V/m

(B)匀强电场的场强大小为

(C)电荷量为的正点电荷从E点移到F点,电荷克服电场力做功为

(D)电荷量为的负点电荷从F点移到D点,电荷的电势能减少

试题详情

18.一列简谐横波某时刻的波形如图中实线所示,经过0. 5s后的波形如图中的虚线所示。

  已知波的周期为T,且0. 25s< T<O. 5s,则   (   )

(A)当波向+x方向传播时,波速等于10m/s

(B)不论波向x轴哪一方向传播,在这0. 5s内,x=1m处的质点M通过的路程都相等

(c)当波沿+x方向传播时,x=1m处的质点M和x =2.5m处的质点N在这0.5s内通过的路程不相等

  (D)当波沿-x方向传播时,经过0.1 s时,质点M的位移一定为零

试题详情

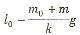
17.如图所示,劲度系数为K的轻弹簧竖直固定在水平面上,上端固定一质量为的托盘,

  托盘上有一个质量为m的木块。用竖直向下的力将原长为的弹簧压缩后突然撤去

外力,则m即将脱离时的弹簧长度为   (  )

(A)   (B)

(C)   (D)

试题详情

16.某原子核吸收宇宙线中的中子后放出质子生成半衰期为5730年的,使自然界及活体生物中含量维持一定。若探测到某遗址中木片的含量减少了1/2,关于A、Z之值及古木死亡时间t距今多少年,下述正确的是   (   )

  ( A)A =14.Z =7;t =2865   (B)A= 14,Z =7;t =5730

  (C)A= 15,Z =8;t =2865   (D)A =15.Z =8;t =11460

试题详情


同步练习册答案