0  336538  336546  336552  336556  336562  336564  336568  336574  336576  336582  336588  336592  336594  336598  336604  336606  336612  336616  336618  336622  336624  336628  336630  336632  336633  336634  336636  336637  336638  336640  336642  336646  336648  336652  336654  336658  336664  336666  336672  336676  336678  336682  336688  336694  336696  336702  336706  336708  336714  336718  336724  336732  447090 

7.分别分解高锰酸钾、氯酸钾、过氧化氢(化学式H2O2)三种物质,都可以制得氧气。这说明三种物质的组成中都含有

  A.氧气      B.氧元素     C.氧分子     D.氧化物

试题详情

6.对下列物质燃烧现象的描述正确的是

A.红磷燃烧,有大量白雾生成

B.木炭在空气中燃烧,生成黑色固体

C.甲烷在空气中燃烧,发出蓝色的火焰     

D.硫在氧气中燃烧,发出黄色火焰

试题详情

5.物质的性质决定物质的用途。下列物质的用途主要由其化学性质决定的是

A.用氧气抢救病人          B.压缩空气给轮胎充气

C.用石墨做铅笔芯         D.用干冰做致冷剂保存食品

试题详情

4.用分子的观点解释下列现象,错误的是

A.花香四溢--分子不停地运动   B.食物腐败--分子发生变化

C.汽油挥发--分子间间隔变大   D.热胀冷缩--分子大小随温度的变化而改变

试题详情

3.以下是有关水的说法,正确的是

A.水电解生成氢气和氧气,说明水是由氢气和氧气组成的

B.电解水的实验中,在电源负极产生的气体是氢气

C.保持水的化学性质的粒子是氢原子和氧原子

D.地下水资源的大量开采可以为人类解除水危机,人类不必再为淡水缺乏而苦恼

试题详情

2.下列食品包装措施中,不能有效防止食品腐败的是

A.填充空气    B.填充氮气    C.抽成真空    D.在冰箱中低温保存

试题详情

注意:每道选择题有四个选项,其中只有一项符合题意。请用铅笔在答题卡上作答。选错、不选、多选或涂改不清的,均不给分。

1.下列各图所示变化属于物理变化的是

试题详情

5.电磁振荡 

分析电磁振荡要掌握以下三个要点(突出能量守恒的观点):

⑴理想的LC回路中电场能E和磁场能E在转化过程中的总和不变。

⑵回路中电流越大时,L中的磁场能越大(磁通量越大)。

⑶极板上电荷量越大时,C中电场能越大(板间场强越大、两板间电压越高、磁通量变化率越大)。

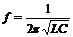
LC回路中的电流图象和电荷图象总是互为余函数(见右图)。电磁振荡的周期公式为:

例题分析

例1:某防空雷达发射的电磁波频率为f=3×103MHZ,屏幕上尖形波显示,从发射到接受经历时间Δt=0.4ms,那么被监视的目标到雷达的距离为______km。该雷达发出的电磁波的波长为______m。

解:由s= cΔt=1.2×105m=120km。这是电磁波往返的路程,所以目标到雷达的距离为60km。由c= fλ可得λ= 0.1m

例2:电子感应加速器是利用变化磁场产生的电场来加速电子的。在圆形磁铁的两极之间有一环形真空室,用交变电流励磁的电磁铁在两极间产生交变磁场,从而在环形室内产生很强的电场,使电子加速。被加速的电子同时在洛伦兹力的作用下沿圆形轨道运动。设法把高能电子引入靶室,能使其进一步加速。在一个半径为r=0.84m的电子感应加速器中,电子在被加速的4.2ms内获得的能量为120MeV。这期间电子轨道内的高频交变磁场是线性变化的,磁通量从零增到1.8Wb,求电子共绕行了多少周?

解:根据法拉第电磁感应定律,环形室内的感应电动势为E== 429V,设电子在加速器中绕行了N周,则电场力做功NeE应该等于电子的动能EK,所以有N= EK/Ee,带入数据可得N=2.8×105周。

例3:如图所示,半径为 r 且水平放置的光滑绝缘的环形管道内,有一个电荷量为 e,质量为 m 的电子。此装置放在匀强磁场中,其磁感应强度随时间变化的关系式为 B=B0+kt(k>0)。根据麦克斯韦电磁场理论,均匀变化的磁场将产生稳定的电场,该感应电场对电子将有沿圆环切线方向的作用力,使其得到加速。设t=0时刻电子的初速度大小为v0,方向顺时针,从此开始后运动一周后的磁感应强度为B1,则此时电子的速度大小为 

A.  B.   C.   D.

解:感应电动势为E=kπr2,电场方向逆时针,电场力对电子做正功。在转动一圈过程中对电子用动能定理:kπr2e=  mv2-  mv02,B正确;由半径公式知,A也正确,答案为AB。

例4:如图所示,平行板电容器和电池组相连。用绝缘工具将电容器两板间的距离逐渐增大的过程中,关于电容器两极板间的电场和磁场,下列说法中正确的是

   A.两极板间的电压和场强都将逐渐减小  

   B.两极板间的电压不变,场强逐渐减小

   C.两极板间将产生顺时针方向的磁场

   D.两极板间将产生逆时针方向的磁场

解:由于极板和电源保持连接,因此两极板间电压不变。两极板间距离增大,因此场强E=U/d将减小。由于电容器带电量Q=UCd增大时,电容C减小,因此电容器带电量减小,即电容器放电。放电电流方向为逆时针。在引线周围的磁场方向为逆时针方向,因此在两极板间的磁场方向也是逆时针方向。选BD。

例5:左右两个电路都是从左端输入信号,从右端输出信号。左图中输入的是高频、低频混合的交流信号,要求只输出低频信号;右图中输入的是直流和低频交流的混合信号,要求只输出低频交流信号。那么C1C2中哪个该用大电容?哪个该用小电容?

解:电容的作用是“通交流,隔直流”、“通高频,阻低频”,由其表达式XC=1/2πfC可看出:左图中的C1必须用电容小些的,才能使高频交流顺利通过,而低频不易通过,这种电容器叫高频旁路电容器。右图中的C2一般用电容大的,使低频交流电很容易通过,只有直流成分从电阻上通过,这种电容器叫隔直电容器。

例6:电学元件的正确使用,对电路安全工作起着重要作用。某电解电容器上标有“25V ,450μF”字样,下列说法中正确的是                      

A.此电容器在交流、直流电路25V的电压时都能正常工作

B.此电容器只有在不超过25V的直流电压下才能正常工作

C.当工作电压是直流25V时,电容才是450μF

D.若此电容器在交流电压下工作,交流电压的最大值不能超过25V

解:电解电容器的极性是固定的,因此只能在直流电压下工作。选B。电容值是由电容器本身的性质决定的,和电压、电荷量都没有关系。

例7:某时刻LC回路中电容器中的电场方向和线圈中的磁场方向如右图所示。则这时电容器正在_____(充电还是放电),电流大小正在______(增大还是减小)。

解:用安培定则可知回路中的电流方向为逆时针方向,而上极板是正极板,所以这时电容器正在充电;因为充电过程电场能增大,

所以磁场能减小,电流在减小。

例8:右边两图中电容器的电容都是C=4×10-6F,电感都是L=9×10-4H,左图中电键K先接a,充电结束后将K扳到b;右图中电键K先闭合,稳定后断开。两图中LC回路开始电磁振荡t=3.14×10-4s时刻,C1的上极板正在____电(充电还是放电),带_____电(正电还是负电);L2中的电流方向向____(左还是右),磁场能正在_____(增大还是减小)。

解:先由周期公式求出=1.2π×10-4s, t=3.14×10-4s时刻是开始振荡后的MT。再看与左图对应的q-t图象(以上极板带正电为正)和与右图对应的i-t图象(以LC回路中有逆时针方向电流为正),图象都为余弦函数图象。在MT时刻,从左图对应的q-t图象看出,上极板正在充正电;从右图对应的i-t图象看出,L2中的电流向左,正在增大,所以磁场能正在增大。

例9:一台收音机,把它的调谐电路中的可变电容器的动片从完全旋入到完全旋出,仍然收不到某一较高频率的电台信号。要想收到该电台信号,应该______(增大还是减小)电感线圈的匝数。

解:调谐电路的频率和被接受电台的频率相同时,发生电谐振,才能收到电台信号。由公式可知,LC越小,f越大。当调节C达不到目的时,肯定是L太大,所以应减小L,因此要减小匝数。

试题详情

4.感抗和容抗(统称电抗)

   ⑴感抗表示电感对交变电流的阻碍作用(XL=2πfL),其特点是“通直流,阻交流”、“通低频,阻高频”。

   ⑵容抗表示电容对交变电流的阻碍作用(XC=1/2πfC),其特点是“通交流,隔直流”、“通高频,阻低频”。

需要引起注意的是课本上强调:输电线上的电压损失,除了与输电线的电阻有关,还与感抗和容抗有关。当输电线路电压较高、导线截面积较大时,电抗造成的电压损失比电阻造成的还要大。

试题详情

3.电磁波的应用

要知道广播、电视、雷达、无线通信等都是电磁波的具体应用。

试题详情


同步练习册答案