0  338854  338862  338868  338872  338878  338880  338884  338890  338892  338898  338904  338908  338910  338914  338920  338922  338928  338932  338934  338938  338940  338944  338946  338948  338949  338950  338952  338953  338954  338956  338958  338962  338964  338968  338970  338974  338980  338982  338988  338992  338994  338998  339004  339010  339012  339018  339022  339024  339030  339034  339040  339048  447090 

33.(9分)为研究酵母菌种群密度的动态变化,某实验小组进行了如下操作,请分析回答:

实验一  按下表所列条件进行了A、B、C和D 共4组实验,用1000mL锥形瓶作为培养器皿,棉塞封口,在25℃下静置培养,其他实验条件均相同,并根据实验结果绘出了酵母菌种群密度变化曲线图。

实验二  进一步进行了下表有关实验。

试管编号
培养液/mL
无菌水/mL
酵母菌母液/mL
温度(℃)
A
10
-
0.1
28
B
10
-
0.1
5
C
-
10
0.1
28

(1)为提高实验的精确度,吸取培养液进行计数之前,应将试管______________,每次计数要做_________________________。

(2)实验一:图中曲线②代表的是__________组的结果;A组和B组的实验结果不同的原因是B组_               ______                

(3) 实验二想研究_________    因素对酵母菌数量增长影响;此实验中酵母菌的年龄组成为衰退类型的是    组。

试题详情

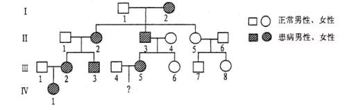
32.(7分)并指(趾)是由于相邻指(趾)间骨性或软组织融合形成的手足畸形,是人类常见的肢端畸形病。下图为某家族先天性并指(趾)遗传系谱。据图回答:

(1)并指(趾)是由位于     染色体上     性基因控制的遗传病。

(2)研究人员从该家族多名患病者的血液样本中提取DNA进行分析时发现,患者的第2号染色体的HOXD13基因中增加了一段碱基序列:-CGCGCT-(模板链),导致其指导合成的蛋白质中多了氨基酸,它们是             

(部分氨基酸的密码子为:精氨酸:CGU、CGC、CGA、CGG,丙氨酸:GCU、GCA、GCG、GCC,脯氨酸:CCG、CCA、CCU、CCC)

(3)上述研究表明,并指(趾)是由          引起的一种遗传病,该家族中的致病基因来自Ⅰ-2,其          细胞发生了这种变化,导致每一代都有患者。

(4)Ⅱ-4和Ⅲ-5这对夫妇所生子女患病的概率是         。若Ⅲ-5已经怀孕,为了生一个正常指(趾)的孩子,应进行             以便确定胎儿是否患病。

试题详情

31.(8分)若测定A、B两种植物的叶片在不同温度下光合作用和呼吸作用速率结果如下图所示。对照实验是在30℃时进行的。请回答:

 

(1)当温度超过      ℃后,植物B的呼吸作用就会受抑制;这两种植物中,最可能原产于热带地区的是              

(2)写出在高温时导致光合作用受抑制的两个原因:①              ;  ②                         

(3)由图中曲线分析,植物A受热致死的临界温度是57℃,其原因是这时         

         

(4)在其他条件不变的情况下,当气温由40℃升至45℃的过程中,植物B的叶绿体中ATP的合成速率       (选填“加快”、“不变”或“降低”)。

(5)水果在生长季节如果长期处于不致死的高温环境中,甜度会较低。参考本研究的结果,说明产生这一现象的生理基础。                           

                               

试题详情

30.2009年国内某医院通过胰岛异体移植手术治愈了一名糖尿病患者,该患者治愈的检查指标和出院后还需服用的药物分别是

A.尿糖和胰岛素  B.胰岛素和抗过敏剂  C.血糖和胰岛素  D.血糖和免疫抑制剂

烟台市2010年高三诊断性测试

      生物试题

 题
 
 号
 
第I卷
     
          第Ⅱ卷
 总
 
 分
选择题
31
32
33
34
35
36(37)
 
分数
 
 
 
 
 
 
 
 

第Ⅱ卷(非选择题  共55分)

试题详情

29.下列有关生态学问题的叙述不正确的是                                       

     A.大力植树造林、改善能源结构是缓解温室效应的有效途径

     B.生物圈有多层次的自动调节能力,其基础是生物的多样性

     C.负反馈调节是维持生态系统自我调节能力的基础

     D.湿地的蓄洪防旱、调节气候功能体现了生物多样性的直接价值

试题详情

28.有关生态系统信息传递的叙述中,错误的是                                    

     A.信息传递把生态系统各组分联系起来为一整体,且有调节系统稳定性的作用

     B.生态系统的反馈调节必须依赖于生态系统的信息传递

     C.生态系统中用于传递的信息都是由生物成分产生的

     D.生物之间的捕食关系是通过信息传递实现的

试题详情

27.如果饮用水中被一种雌性激素类似物污染,可能会导致下列哪种结果         

     A.雌性个体的促性腺激素含量上升

     B.雌性个体的促性腺激素释放激素的含量上升

     C.雌性个体分泌雌激素含量上升

     D.对雌性个体卵细胞形成过程的促进作用增强

试题详情

26.下列调查活动或实验中,计算所得数值与实际数值相比,可能偏小的是        

     A.标志重捕法调查野兔种群密度时个别标志物脱落

     B.调查某遗传病的发病率时以患者家系为调查对象

     C.样方法调查法国梧桐种群密度时在分布较稀疏的地区取样

     D.用血球计数板计数酵母菌数量时统计方格内和在相邻两边上的菌体

试题详情

25.“达菲”(又名磷酸奥司他韦),是目前人们公认的抵抗甲型H1N1流感病毒的有效药物之一。该药能对流感病毒表面的一种蛋白质--神经胺酶起抑制作用,从而使流感病毒不能从宿主细胞中释放出来。下列判断正确的是       

A.“达菲”能阻止甲型H1N1流感病毒在人体细胞内的繁殖

     B.“达菲”能阻止甲型H1N1流感病毒在人体细胞间扩散

     C.“达菲”能使甲型H1N1流感病毒丧失对人体细胞的识别能力

     D.“达菲”能使甲型H1N1流感病毒中控制神经胺酶的基因发生突变

试题详情

22.神经冲动在两个神经元之间传递时,以下生理活动不会发生的是              

     A.生物膜的融合和转化                  B.离子通道的开放和关闭

     C.ATP的合成和水解                     D.信号分子与突触前膜上受体的识别和结合

23对果树进行压条时,需要把压条树皮环割一圈,环割后剥圈以下的侧芽会迅速发育成侧枝,这是因为

A.剥圈以上顶芽不会再产生生长素           B.剥圈以下的侧芽部位生长素浓度升高

C.剥圈以下的侧芽部位生长素浓度降低      D.剥圈以上的侧芽部位生长素浓度降低24.为了使人们在冬季吃上新鲜葡萄,农业专家研究尝试了葡萄一年两熟技术,这一技术的   关键是需要在夏季葡萄成熟后及时解除冬芽的休眠,使其萌发。下列的技术处理不利于解除   冬芽休眠的是

   A、利用大棚提高温度      B、摘除部分新枝

C、摘除衰老的叶片       D、在冬芽上涂抹石灰氮(无毒碱性物质)

试题详情


同步练习册答案