0  339291  339299  339305  339309  339315  339317  339321  339327  339329  339335  339341  339345  339347  339351  339357  339359  339365  339369  339371  339375  339377  339381  339383  339385  339386  339387  339389  339390  339391  339393  339395  339399  339401  339405  339407  339411  339417  339419  339425  339429  339431  339435  339441  339447  339449  339455  339459  339461  339467  339471  339477  339485  447090 

15. 已知两个不相等的实数满足以下关系式:   

 

则连接A B两点的直线与圆心在原点的单位圆的   位置关系是      

试题详情

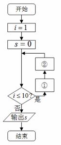
14.右面是计算的程序框图,图中的①、②分别是

       和_______ ______.

试题详情

13.双曲线的左右焦点分别为,已知线段被点分成两段,则此双曲线的离心率为____________________.

试题详情

12.定义在R上的函数f(x),若,则下列各式正确的是        (   )

    A.                        B.

    C.             D.大小不定

第Ⅱ卷   (非选择题  共90分)

试题详情

11.已知则关于的方程有实根的概率是  (   )

    A.          B.          C.          D.

试题详情

10.已知直线m、n与平面α、β,给出下列四个命题:

   ①若m∥α,n∥α,则m∥n            ②若m∥α,n⊥α,则n⊥m;

③若m⊥α,m∥β,则α⊥β           ④若m∥n,m∥α,则n∥α.

  其中真命题的个数是                                             (   )

   A.0             B.1             C.2             D.3

试题详情

9.函数在区间内的图象是(  )

试题详情

8.如图,一个简单空间几何体的三视图其主视图与左视图

是边长为2的正三角形、俯视图轮廓为正方形,

则全面积是(  ).

    A     B .    C. 12    D . 8

试题详情

7.下列有关命题说法正确的是                            (   )

    A.的图像恒过点(0,-2)

    B.的必要不充分条件

    C.命题的否定是:“

    D.“”是上为增函数”的充要条件

试题详情

6.曲线y=x3-2在点(1,-)处切线的倾斜角为(   )

A.30°      B.45°      C.135°     D.150°

试题详情


同步练习册答案