0  339294  339302  339308  339312  339318  339320  339324  339330  339332  339338  339344  339348  339350  339354  339360  339362  339368  339372  339374  339378  339380  339384  339386  339388  339389  339390  339392  339393  339394  339396  339398  339402  339404  339408  339410  339414  339420  339422  339428  339432  339434  339438  339444  339450  339452  339458  339462  339464  339470  339474  339480  339488  447090 

7.某位高三学生要参加高校自主招生考试,现从6所高校中选择3所报考,其中两所学校的

考试时间相同.则该学生不同的报名方法种数是

A. 12      B. 15      C. 16      D. 20

试题详情

6.若称为n个正数,则的“均倒数”,数列的各项均为正,且

其前n项的“均倒数”为,则数列的通项公式为

A.2n-1  B.  4n-3   C.  4n -1   D.4n-5

试题详情

5.  “p或q是假命题”是“非p为真命题”的

A.充分不必要条件      B.必要不充分条件

C.充要条件         D.既不充分又不必要条件

试题详情

4.  己知直线,平面,有以下命题:

①.,则

④若平面a内不共线的三点到平面的距离相等,则

则正确命题有

A.O个   B.1个   C.2个   D.3个

试题详情

3.已知,向量与向量的夹角是,则x的值为

A.±3   B.   C.±9   D.  3

试题详情

  合题目要求的.

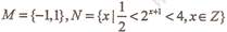
1.已知集合

  A.   B.{O)   c.{-1)   D.

2-当O<a<l时,在同一坐标系中,函数的图象是

试题详情

25.“一叶落而知天下秋”的观点,与“只见树木,不见森林”的观点反映了

A.唯物论与唯心论的对立     B.辩证法与形而上学的分歧

C.唯物论与辩证法的统一     D.唯心论与形而上学的联系

第Ⅱ卷(非选择题,共50分)

试题详情

    2009年10月1日,北京举行建国60周年庆祝大会,十万群众参加游行活动,演绎了新中国60年流动的发展史,表达出对未来的美好期望。据此回答23-24题。

23.新中国成立60年来,特别是十一届三中全会后的改革开放的大政方针政策,极大地促进了我国经济社会的发展,这体现的哲学道理是

A.意识对客观事物起促进作用

B.正确认识对事物的发展起决定作用

C.正确的意识是我们想问题、办事情的出发点

D.意识对物质具有能动的反作用

24.新中国成立60年来,特别是改革开放以来,党和国家在以经济建设为中心的同时,统筹兼顾,恰当处理各种问题,化解矛盾,为我国经济建设创设了一个良好的社会环境。这体现的唯物辩证法道理是

A.意识是人脑对客观事物的正确反映

B.看问题办事情要坚持两点论与重点论的统一

C.事物的联系是普遍的、无条件的

D.量变是质变的前提和必要条件

试题详情


同步练习册答案