0  339296  339304  339310  339314  339320  339322  339326  339332  339334  339340  339346  339350  339352  339356  339362  339364  339370  339374  339376  339380  339382  339386  339388  339390  339391  339392  339394  339395  339396  339398  339400  339404  339406  339410  339412  339416  339422  339424  339430  339434  339436  339440  339446  339452  339454  339460  339464  339466  339472  339476  339482  339490  447090 

5.如图所示,质量相同的木块AB用轻弹簧相连,静止在光滑水平面上。弹簧处于自然状态。现用水平恒力F向右推A,则从开始推A到弹簧第一次被压缩到最短的过程中,下列说法中正确的是               (   )

    A.两木块速度相同时,加速度aA= aB   

    B.两木块速度相同时,加速度aA< aB

    C.两木块加速度相同时,速度vA> vB   

       D.两木块加速度相同时,速度vA< vB

试题详情

4.在平直公路上行驶的汽车中,某人从车窗相对于车静止释放一个小球,不计空气阻力,用固定在路边的照相机对小球进行闪光照相。在照相机的闪光灯连续闪亮两次的过程中,通过照相机拍得一张包含小球和汽车两个像的照片。已知闪光灯两次闪光的时间间隔为0.5s,第一次闪光时小球刚好释放、第二次闪光时小球恰好落地。对照片进行分析可知,在两次闪光时间间隔内,小球移动的水平距离为5m,汽车前进了5m。根据以上信息尚不能确定的是:(已知g=10m/s2)                                 (   ) 

    A.小球释放点离地的高度

    B.第一次闪光时小车的速度

    C.汽车做匀速直线运动

    D.两次闪光的时间间隔内汽车的平均速度

试题详情

3.在内表面只反射而不吸收光的圆筒内有一黑球,距球心为L处有一点光源S,球心O和光源S皆在圆筒轴线上,已知筒的内半径为r,如图所示.若使点光源向右半边发出的光最后全被黑球吸收,则黑球的半径R最小为                      (   ) 

  A.

B.

C.

D.

试题详情

2.一列简谐横波沿x轴的正向传播,振幅为2 cm,已知

在t=0时刻相距30 cm的两质点a、b的位移都是1cm,

但运动方向相反,其中质点a沿y轴负向,如图所示,

则                   (   )

    A.两质点a、b的加速度始终相同

    B.两质点a、b的平衡位置间的距离为半波长的奇数倍

    C.质点a的速度最大时,质点b的速度为零

    D.当质点b的位移为+2 cm时,质点a的位移为负

试题详情

1.下列说法中正确的是                                             (   )

    A.气体的温度升高时,分子的热运动变得剧烈,分子的平均动能增大,撞击器壁时对器壁的作用力增大,从而气体的压强一定增大

    B.第二类水动机不能制成是因为它违反了能量守恒定律

    C.压缩一定量的气体,气体的内能一定增加

      D.分子a从远处趋近固定不动的分子b,当a到达受b的作用力为零处时,a的动能一定最大

试题详情

22。(本小题满分12分)

   已知

(I)求函数的单调区间;

(Ⅱ)求函数上的最小值;

(Ⅲ)对一切的恒成立,求实数a的取值范围

试题详情

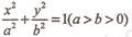
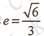
21。(本小题满分12分)

己知椭圆的离心率,过点A(O, -b)和B(a,o)的直线

到原点的距离为

(I)求椭圆的方程;

(Ⅱ)若直线y=kx+2(k≠o)与椭圆交于C、D两点.问:是否存在常数k,使得以CD

   为直径的圆过坐标原点?若存在,求出k,若不存在,请说明理由.

试题详情

20.(本小题满分12分)

   如图.在四棱锥S - ABCD中,底面ABCD是正方形,SA⊥底面ABCD,SA= AB,

点M是SD上的点,AM与BC所成的角为

AN⊥SC,垂足为点N.

(I)求证:SB ∥平面ACM ;

( II)求直线AC与平面SDC所成的角;

(Ⅲ)求二面角N-AM-C的大小.

试题详情

19.(本小题满分12分)

   在美化校园的植树活动中,某同学共种了6棵树,各棵树的成活与否是相互独立的

  每棵树成活的概率均为p.已知该同学所种树中有3棵成活的概率为

  (I)求p的值;

  (II)若有3棵或3棵以上的树未成活,则需要补种,求需要补种的概率;

  (Ⅲ)设为成活树的棵数,求

试题详情

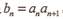
18.(本小题满分12分)

   已知在各项不为零的数列中,

   (I)求数列的通项;

   (Ⅱ)若数列满足,数列的前n项和为,求

试题详情


同步练习册答案