0  339377  339385  339391  339395  339401  339403  339407  339413  339415  339421  339427  339431  339433  339437  339443  339445  339451  339455  339457  339461  339463  339467  339469  339471  339472  339473  339475  339476  339477  339479  339481  339485  339487  339491  339493  339497  339503  339505  339511  339515  339517  339521  339527  339533  339535  339541  339545  339547  339553  339557  339563  339571  447090 

23、(11分)在实验探究课上,老师给了同学们一包红色粉未,该粉末是铜粉和氧化铁粉中的一种或两种。同学们为了确定该粉末的成分,进行如下探究。请你参与他们的探究并回答问题。

(1)[提出问题]假设l:红色粉末是铜粉;假设2:红色粉末是氧化铁粉;

假设3:红色粉末是_________________     

(2)[设计实验方案] 同学们对实验作了

如下设想和分析:取少量红色粉末放入

硬质玻璃管中,通入一氧化碳片刻后加热

至充分反应(实验装置如右图所示)。 

   若假设1成立,在实验中可看到的现象是               

若假设2成立,在实验中可看到的现象是                

若假设3成立,在实验中可看到的现象是               

(3)[进行实验]通过实验及分析,确认假设3成立。

(4)[反思与评价]

①实验过程中,硬质玻璃管内发生反应的化学方程式是__________________ 

②实验时通入一氧化碳片刻后再加热的原因是____________________    _

③从环保角度看,上面的实验装置有不足之处,请你对该装置进行改进,具体措施是__________________________________________

(5)[拓展]为了进一步探究铁和铜的金属活动性强弱,请根据实验室现有的仪器和药品条件(如下所列),通过填写下表,完成对实验方案的构思。

[实验仪器]试管、胶头滴管、镊子

[实验药品]铁钉、铜片、稀硫酸、硫酸锌溶液、硫酸亚铁溶液、硫酸铜溶液

所选药品
有关化学方程式
 
 

2010年升中化学模拟试卷(二)  第7页(共8页)
 

试题详情

22.(12分)小明设计了如下图所示的实验装置来证明氧化铜能加快过氧化氢溶液的分解,并与相同条件下MnO2的催化效果做比较,实验时间均以生成30 mL气体为准(即比较反应速率)。用图示装置测量产生气体的体积,其它可能影响实验因素均已忽略,相关数据如下:

实验
序号
过氧化氢
溶液体积
催化剂
待测数据

15mL

 

15mL
CuO(0.5g)
 

15mL
MnO2(0.5g)
 

(1)写出有标号的仪器的名称: ①      ;②       ;③      

(2)检查图(I)装置气密性的方法是:                  

图I装置除可以用于制氧气外,还可用于制取的气体是       

(3)图(Ⅱ)装置中油层的作用是                    

(4)从设计原理看,实验中的“待测数据”可以是指            

(5)为了测量气体体积,在读取反应前后量气管中读数的过程中,应该要注意

      (填字母编号)。

a.视线与凹液面最低处相平     b.读数前不能移动量气管和水准管

c.保持水准管静止,待水准管中液面不再上升时,立刻读数

d.读数前应上下移动水准管,待两管液面相平再读数

(6)如果要进一步探究CuO是否是该反应的催化剂,请完成下列实验。

  实验步骤和现象
设计这一步骤的目的
①取15mL过氧化氢溶液,加入0.5g CuO后,产生O2的速率比未加入时快得多
CuO能加快过氧化氢溶液的分解

 
 

2010年升中化学模拟试卷(二)  第6页(共8页)

 

 
 

试题详情

21.(6分)大气中CO2含量的增加会加剧温室效应,为寻找处理CO2,减少其排放的方法,某化学兴趣小组的同学设计了实验室制取CO2,并将CO2转化的实验。制取CO2装置图如下:

 

将CO2转化的实验流程如下图:问

(1)实验室制取CO2的化学方程式是___                 

(2)浓硫酸的作用是              ,收集装置为___  (填字母)

(3)实验流程中CO2转化的最终产物为(填化学式,下同)         

2010年升中化学模拟试卷(二)  第5页(共8页)
 
在此过程中可循环利用的物质是             

试题详情

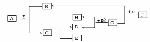
20.(8分)下图表示某些物质间的转化关系(反应条件均略去)。其中A为天然气的主要成分,C为相对分子质量最小的氧化物,F为红棕色粉末,G为最常见的金属。B、D、E为无色气体。: 请回答下列问题

(1) 写出物质的化学式:A            ;G          

(2) B物质固态时的名称是        ,该固态物质在实际生活、生产中的一种用途是                       

(3) 写出下列反应的化学方程式:

① G与E的反应                        

② C→D+E                         

试题详情

19.(4分)下表列出了KNO3在不同温度下的溶解度。

温度/℃
0
20
40
60
80
100
 溶解度/g
13.3
31.6
63.9
110
169
246

(1)由上表可推出KNO3溶解度曲线的变化规律是               

(2)20℃时,把40 g KNO3放入小烧杯中,然后再加100 g水不断搅拌,形成溶液的质量为    g;该溶液是      (填“饱和”或“不饱和”)溶液

(3)如右图所示,把上述(2)中的小烧杯放到盛水的大烧

杯中。若将少量的下列物质分别小心地加入到大烧杯

的水中,不断搅拌,能够使小烧杯中的KNO3溶液溶质

的质量分数增大的是         (填序号)。

2010年升中化学模拟试卷(二)  第4页(共8页)
 
①浓硫酸     ②硝酸铵     ③氢氧化钠    ④冰

试题详情

18、(5分)酸、碱、盐溶解性表是学习化学的重要工具。右表列出了“部分酸、碱、

盐在20 ℃时的溶解性”。利用此表完成以下任务:

(1)查:Ba(OH)2的溶解性    

(2)写化学式:一种酸    

(3)判断:氯化钠溶液与硝酸钙溶液能否发生反

应及其理由是               

(4)写出铁铝与表中的一种盐反应的化学方程式             

试题详情

17.(4分) 家庭厨房实际上就是一个化学世界。“柴、米、油、盐、酱、醋、糖”等都是化学物质。请根据你所掌握的化学知识,回答下列问题:

(1)“米、油、盐、酱、醋、糖”中含有的营养物质是(答出1种)    

(2)油锅不慎着火,可以盖上锅盖将火熄灭,它的灭火原理是       

(3)下列物质中属于天然材料的是      ;属于合成材料的是    

    A、塑料菜篮    B、纯棉汤渣袋    C、铁锅    D、尼龙围裙

试题详情

16.(4分)水是一种重要的物质,在实验室和日常生活中有着十分重要的作用。

(1)请列举出水在实验室中的一个用途                   

(2)硬水会给生产和生活带来许多不便,生活中可用    的方法降低它的硬度

2010年升中化学模拟试卷(二)  第3页(共8页)
 
(3)农业和园林浇灌植物时,将大水漫灌改为喷灌、滴灌的目的是       

(4)下列各项与自来水的净化过程无关的是       (填标号);

A.吸附       B.消毒       C.电解     D.过滤

试题详情

15.(4分) 用适当的数字、符号或序号填空:

(1)4个五氧化二磷分子____      __;2个氢氧根离子____  __   

(2) 将右图中合适的序号填入相应的横线上:    

表示两个氧原子的是    

    表示离子结构示意图的是    

试题详情

14.现有HCl与CaCl2的混合溶液,向其中逐滴加入过量某物质X,溶液的pH随滴入X的量的变化关系如右图所示。则X是 

A.水           B.石灰石

C.烧碱溶液        D.稀盐酸

试题详情


同步练习册答案