0  341759  341767  341773  341777  341783  341785  341789  341795  341797  341803  341809  341813  341815  341819  341825  341827  341833  341837  341839  341843  341845  341849  341851  341853  341854  341855  341857  341858  341859  341861  341863  341867  341869  341873  341875  341879  341885  341887  341893  341897  341899  341903  341909  341915  341917  341923  341927  341929  341935  341939  341945  341953  447090 

14、如图,在水平力F作用下,AB保持静止。若AB的接触面是水平的,且F不等于0,则关于B的受力个数可能为:

A.3个   B.4个  

C.5个   D.6个

试题详情

13、锂电池是新一代高能电池,以质轻、能高而受到普遍重视。目前已经研制成功了多种锂电池。某种锂电池的电池反应为Li + MnO2 = LiMnO2,若该电池提供5库电量(不计损耗),则消耗的正极材料质量约为(电子电量1.60×1019C):

A.3.5×103g  B.7×104g   C.4.52×103g   D.4.52×102g 

试题详情

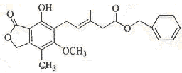
12、有关下图所示化合物的说法错误的是:

A.既可以与Br2的CCl4溶液发生加成反应,又可以在光照下与Br2发生取代反应

B.1 mol该化合物最多可以与3 mol NaOH溶液反应

C.既可以催化加氢,又可以使酸性KMnO4溶液褪色

D.既可以与FeCl3溶液发生显色反应,又可以与NaHCO3溶液反应放出CO2气体

试题详情

11、相同体积的PH=1的强酸溶液和弱酸溶液分别与足量的锌完全反应,下列说法正确的是:

A.强酸溶液产生的H2多       B.弱酸溶液产生的H2

C.两者产生的H2一样多       D.无法比较

试题详情

10、下列离子方程式正确的是:

A.甲酸钠溶液和盐酸反应:HCOO- + H+ = HCOOH

B.硫氢化钠溶液的水解:HS- + H2O   H3O+ + S2-

C.醋酸钡溶液和硫酸反应:Ba2+ + SO42- = BaSO4

D.把镁粉放入FeCl3溶液中: 2Fe3+ +3Mg +6H2O = 2Fe(OH)3↓+3Mg2+ +3H2

试题详情

9、设NA为阿伏加德罗常数,下列说法错误的是: 

A.含12.0 g NaHSO4晶体中阳离子数约为0.2×6.02×1023

B.在H2O2+Cl2=2HCl+O2反应中,每生成32 g氧气,则转移2NA个电子

C.常温常压下,氧气和臭氧的混合物16g中约含有6.02×1023个氧原子

D.一定温度下,1 L 0.50 mol·L-1 NH4Cl与2 L 0.25 mol·L-1 NH4Cl两种溶液含n(NH+4)不同

试题详情

8、右图为实验室制氢气的简易装置。若在加稀硫酸时,发现

锌粒与稀硫酸没有接触而稀硫酸又不够了,为使该反应顺

利进行,则可以从长颈漏斗中加入的试剂是:

①食盐水;   ②KNO3溶液;  ③适量稀硫酸铜溶液;

④Na2CO3溶液;  ⑤CCl4 ;  ⑥浓氨水。

A. ③⑤   B.②⑥    C.①③⑤    D.①②④

试题详情

7、下列说法错误的是:

A.08年北京奥运会开幕式上的“脚印”等焰火让全世界为之欢呼、倾倒,这主要是利用了化学中“焰色反应”的知识

B.我国神七宇航员所穿航天服主要成分是由碳化硅、陶瓷和碳纤维复合而成的,它是一种新型无机非金属材料

C.中国第1艘LNG船“大鹏昊”已于09年5月2日满载65000吨LNG,抵达广东。船底镶嵌锌块,锌作负极,以防船体被腐蚀

D.2008年诺贝尔化学奖被授予研究“绿色荧光蛋白质”的美籍华裔科学家钱永健等人。

蛋白质都是由氨基酸形成的不可降解的高分子化合物,其水溶液有丁达尔效应

试题详情

6、将状况相同的某种绿叶分成四等组,在不同温度下分别暗处理1h,再光照1h(光强相同),测其重量变化,得到如下表的数据。下列说法正确的是:

组别




温度/℃
27
28
29
30
暗处理后重量变化/mg
-1
-2
-3
-1
光照后与暗处理前重量变化/mg
+3
+3
+3
+1

A.该植物光合作用的最适温度约是27℃  B.该植物呼吸作用的最适温度约是29℃

C.27-29℃下的净光合速率相等     D.30℃下的真正光合速率为2mg/h

试题详情

5、现代进化理论认为,突变和基因重组产生生物进化的原材料,下列哪种变异现象不属于此类突变的范畴:

A.(豌豆种皮)黄色(自交)→黄色、绿色    B.红眼果蝇中出现了白眼

C.猫叫综合征                D.无子西瓜

试题详情


同步练习册答案