0  349555  349563  349569  349573  349579  349581  349585  349591  349593  349599  349605  349609  349611  349615  349621  349623  349629  349633  349635  349639  349641  349645  349647  349649  349650  349651  349653  349654  349655  349657  349659  349663  349665  349669  349671  349675  349681  349683  349689  349693  349695  349699  349705  349711  349713  349719  349723  349725  349731  349735  349741  349749  447090 

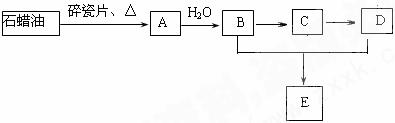
23.(14分)A是一种重要的化工原料,A的产量可以用来衡量一个国家的石油化工水平,E是具有果香气味的烃的衍生物。A、B、C、D在一定条件下存在如下转化关系(部分反应条件、产物被省略)。

     

⑴A→B的反应类型是_______________;

B、D中官能团的名称分别是_______、 ________;

⑵写出反应B→C的化学方程式:_______________________________________。

⑶丁烷是由石蜡油获得A的过程中的中间产物之一,它的一种同分异构体中含有三个甲基,则这种同分异构体的结构简式:

____________________________________________。

⑷人在做过剧烈运动后,有一段时间腿和胳膊感到有酸胀或疼痛的感觉。原因之一是

。已知乳酸分子中含有与B、D中相

同的官能团,且有一个甲基,则乳酸的结构简式是               , 90 g乳酸与足量金属钠完全反应产生的气体在标准状况下的体积是         L

(5) 可用于检验有机物C的试剂是                       

试题详情

22.(8分)“酒是陈的香”,这是因为酒在储存过程中生成了有香味的乙酸乙酯,在实验室我们也可以用下图所示装置制取乙酸乙酯。

回答下列问题:

(1)写出制取乙酸乙酯的化学反应方程式:__________________________ 

(2)浓硫酸的作用是:①______________;②_____________

(3)插入右边试管的导气管上接有一个球状容器,其作用为________________

(4)将接收液与乙酸乙酯分离的方法是___________________

(5)做此实验时,有时还向作反应容器的试管里加入几块碎瓷片,其目的是____________

试题详情

21.(6分)今有两个氢气燃烧生成水的热化学方程式

H2(g) + 1/2O2(g) == H2O(g)  △H=a kJ/mol   

2H2(g) + O2(g) == 2H2O(l)  △H=b kJ/mol   

  请回答下列问题:(提示:︱b︱表示b的绝对值)

(1)若2 mol H2完全燃烧生成水蒸气,则放出的热量 ︱b︱kJ(填“>”、“<”或“=”)

(2)反应热的关系:2a    b(填“>”、“<”或“=”)。

(3)若已知H2(g) + 1/2O2(g) == H2O(g)  △H=-242 kJ/mol ,且氧气中1mol O=O键完全断裂时吸收热量496kJ,水蒸气中1mol H-O键形成时放出热量463kJ,则氢气中1mol

H-H键断裂时吸收的热量为            

试题详情

20.“绿色化学”对化学反应提出了“原子经济性”(原子节约)的新概念及要求,理想的原子经济性反应是原料分子中的原子全部转化成所需要的产物,不产生副产物,实现零排放。下列反应类型中一定符合这一要求的是          (  )

①取代反应  ②加成反应  ③水解反应 ④酯化反应  ⑤加聚反应

A.②  B.①④        C.③⑤   D.②⑤

延安市实验中学2009-2010学年度第二学期期末考试试题(卷)

高一化学   

注意:

卷面书写分:语、英、政、史各占3分,数、理、化、生、地各占2分

评分标准:①书写规范、字体美观、卷面整洁得3分;②书写认真、字体 

工整、卷面清洁得2分;③书写较认真、卷面较整齐清洁得1分。

第Ⅱ卷(共40分)

试题详情

19、下列装置或操作能达到实验目的的是                 (   )

A.除去乙醇中的乙酸   B.形成原电池    C.制取乙酸乙酯      D.石油的蒸馏

试题详情

18. 下列有机物发生的反应属于加成反应的是                (   )

A. 乙烯使KMnO4溶液褪色      

B. 乙烯水化制乙醇

C. 甲烷和氯气混合,见光       

D. 用乙醇、乙酸与浓H2SO4 混合加热

试题详情

17. 将等质量的铜丝在酒精灯上加热后,分别插入下列物质中,放置片刻,铜丝质量增大的是 (  ) 

A.硝酸        B.无水乙醇      

C.石灰水       D.HCl

试题详情

16.鉴别下列各组物质的水溶液所选的试剂(括号内)中不正确的是      (   )

  A.白酒、食醋(NaHCO3溶液)  

B.葡萄糖、福尔马林[新制Cu(OH)2悬浊液]

  C.食盐、纯碱(盐酸)      

D.淀粉、鸡蛋清(碘水)

试题详情

15.能使蛋白质变性的是:                    (   )

①硫酸钾  ②甲醛  ③硝酸钾  ④硝酸汞  ⑤氯化铵  ⑥氢氧化钠

A. ②④⑥      B. ①③⑤       C. ①②③       D. ③④⑤

试题详情

14.下列关于乙醇和乙酸两种物质的说法不正确的是          (   )

A.都能发生取代反应         

B.都能使紫色石蕊试液变红 

C.都能发生酯化反应         

D.都能和金属钠反应生成H2

试题详情


同步练习册答案