0  363958  363966  363972  363976  363982  363984  363988  363994  363996  364002  364008  364012  364014  364018  364024  364026  364032  364036  364038  364042  364044  364048  364050  364052  364053  364054  364056  364057  364058  364060  364062  364066  364068  364072  364074  364078  364084  364086  364092  364096  364098  364102  364108  364114  364116  364122  364126  364128  364134  364138  364144  364152  447090 

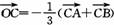
2.如右图,已知MN分别为四面体ABCD的面BCD与面ACD的重心,且GAM

上一点,且GMGA=1∶3.

求证:BGN三点共线.

证明:设abc,则=-a+(a+b+c)=

a+b+c=-a+b+cBG.∴,即B

GN三点共线.

试题详情

1.已知向量{abc}是空间的一组基底,向量{a+babc}是空间的另一组基底,

一向量p在基底{abc}下的坐标为(1,2,3),求在基底{a+babc}下的坐标.

解答:设p在基底{a+babc}下的坐标为(x, y, z),则a+2b+3cx(a+b)+y(a

b)+zc=(x+y)a+ (xy)b+zc,∴解得

p在基底{a+babc}下的坐标为(,-,3).

试题详情

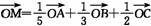
10.如右图,在空间四边形SABC中,ACBS为其对角线,O为△ABC的重心,试

证:         

(1);(2)

证明:(1) ,①

,②

,③

①+②+③得.

(2) ,④

,⑤

,⑥

由(1)得:.

④+⑤+⑥得3SO=().

试题详情

9.求证:空间四边形对角线互相垂直的充要条件是对边平方和相等.

证明:设abc,充分性证明:则a+bc.

根据已知条件:a2+(a+bc)2b2+c2,整理得:a2+a·ba·cb·c=0,

即(a+b)·(ac)=0,因此ACBD.

必要性证明:∵(a+b)·(ac)=0,∴a2+a·ba·cb·c=0.

a2+(a+bc)2b2+c2,因此.

试题详情

8.证明三个向量a=-e1+3e2+2e3b4e16e2+2e3c=-3e1+12e2+11e3共面.

证明:若e1e2e3共面,显然abc共面;若e1e2e3不共面,设cλa+μb

即-3e1+12e2+11e3λ(-e1+3e2+2e3)+μ(4e16e2+2e3),

整理得-3e1+12e2+11e3=(4μλ)e1+(3λ-6μ)e2+(2λ+2μ)e3

由空间向量基本定理可知

解得即c=5a+b,则三个向量共面.

试题详情

7.下列命题中,正确的命题个数为________.

;②|a|-|b|=|a+b|ab共线的充要条件;③若ab共面,

ab所在的直线在同一平面内;④若,则PAB三点共线.

答案:1

试题详情

6.已知e1e2e3为不共面向量,若ae1+e2+e3be1e2+e3ce1+e2e3

de1+2e2+3e3,且dxa+yb+zc,则xyz分别为______________.

解析:由dxa+yb+zce1+2e2+3e3=(x+y+z)e1+(xy+z)e2+(x+yz)e3

∴解得:

答案:,-,-1

试题详情

5.在下列条件中,使MABC一定共面的是________.

;②

;  ④

解析:∵,∴,则为共面向量,

MABC四点共面.

答案:③

试题详情

4.以下四个命题中正确的是( )

A.空间的任何一个向量都可用其他三个向量表示

B.若{abc}为空间向量的一组基底,则{a+bb+cc+a}构成空间向量的另一组

基底

C.△ABC为直角三角形的充要条件是=0

D.任何三个不共线的向量都可构成空间向量的一组基底

解析:若a+bb+cc+a为共面向量,则a+bλ(b+c)+μ(c+a),(1-μ)a=(λ-1)b

+(λ+μ)cλμ不可能同时为1,设μ≠1,则a= b+c,则abc为共

面向量,此与{abc}为空间向量基底矛盾.

答案:B

试题详情

3.P为正六边形ABCDEF外一点,OABCDEF的中心,则

等于( )

A.    B.3    C.6    D.0

答案:C

试题详情


同步练习册答案