0  364001  364009  364015  364019  364025  364027  364031  364037  364039  364045  364051  364055  364057  364061  364067  364069  364075  364079  364081  364085  364087  364091  364093  364095  364096  364097  364099  364100  364101  364103  364105  364109  364111  364115  364117  364121  364127  364129  364135  364139  364141  364145  364151  364157  364159  364165  364169  364171  364177  364181  364187  364195  447090 

3.(2010湖北理)17.(本小题满分12分)

  为了在夏季降温和冬季供暖时减少能源损耗,房屋的屋顶和外墙需要建造隔热层。某幢建筑物要建造可使用20年的隔热层,每厘米厚的隔热层建造成本为6万元。该建筑物每年的能源消耗费用C(单位:万元)与隔热层厚度x(单位:cm)满足关系:C(x)=若不建隔热层,每年能源消耗费用为8万元。设f(x)为隔热层建造费用与20年的能源消耗费用之和。

(Ⅰ)求k的值及f(x)的表达式。

(Ⅱ)隔热层修建多厚时,总费用f(x)达到最小,并求最小值。

2009年高考题

试题详情

2.(2010四川文)(22)(本小题满分14分)

(),g(x)是f(x)的反函数.

(Ⅰ)求

(Ⅱ)当时,恒有成立,求t的取值范围;

(Ⅲ)当0<a≤时,试比较f(1)+f(2)+…+f(n)与的大小,并说明理由.

试题详情

1.(2010四川理)(22)(本小题满分14分)

(),g(x)是f(x)的反函数.

(Ⅰ)设关于的方程求在区间[2,6]上有实数解,求t的取值范围;

(Ⅱ)当ae(e为自然对数的底数)时,证明:

(Ⅲ)当0<a≤时,试比较与4的大小,并说明理由.

本小题考产函数、反函数、方程、不等式、导数及其应用等基础知识,考察化归、分类整合等数学思想方法,以及推理论证、分析与解决问题的能力.

解:(1)由题意,得ax>0

g(x)=x∈(-∞,-1)∪(1,+∞)

t=(x-1)2(7-x),x∈[2,6]

t'=-3x2+18x-15=-3(x-1)(x-5)

列表如下:

x
2
(2,5)
5
(5,6)
6
t'
 
+
0
-
 
t
5

极大值32

25

所以t最小值=5,t最大值=32

所以t的取值范围为[5,32]……………………………………………………5分

(2)

      =ln()

      =-ln

u(z)=-lnz2=-2lnz+zz>0

u'(z)=-=(1-)2≥0

所以u(z)在(0,+∞)上是增函数

又因为>1>0,所以u()>u(1)=0

ln>0

………………………………………………………………9分

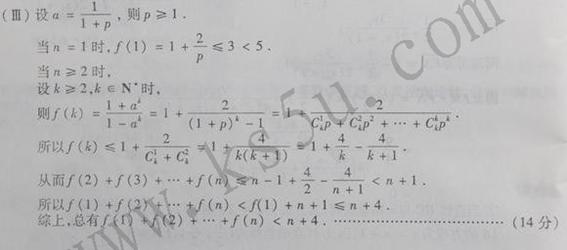
(3)设a,则p≥1,1<f(1)=≤3

n=1时,|f(1)-1|=≤2<4

n≥2时

k≥2,kN *时,则f(k)=

             =1+

所以1<f(k)≤1+

从而n-1<n-1+n+1-n+1

所以nf(1)+n+1≤n+4

综上所述,总有|n|<4

试题详情

1.(2010上海文)9.函数的反函数的图像与轴的交点坐标是     

答案 (0,-2)

解析:考查反函数相关概念、性质

法一:函数的反函数为,另x=0,有y=-2

法二:函数图像与x轴交点为(-2,0),利用对称性可知,函数的反函数的图像与轴的交点为(0,-2)

试题详情

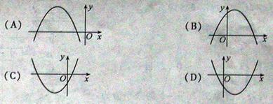
15.(2010安徽理)6、设,二次函数的图象可能是

答案 D

[解析]当时,同号,(C)(D)两图中,故,选项(D)符合.

[方法技巧]根据二次函数图像开口向上或向下,分两种情况分类考虑.另外还要注意c值是抛物线与y轴交点的纵坐标,还要注意对称轴的位置或定点坐标的位置等.

试题详情

14.(2010四川文)(2)函数y=log2x的图象大致是

(A)        (B)       (C)       (D)

答案 C

解析:本题考查对数函数的图象和基本性质.

试题详情

13.(2010全国卷1文)(7)已知函数.若且,,则的取值范围是

(A)   (B)(C)   (D)

答案 C

[命题意图]本小题主要考查对数函数的性质、函数的单调性、函数的值域,考生在做本小题时极易忽视a的取值范围,而利用均值不等式求得a+b=,从而错选D,这也是命题者的用苦良心之处.

[解析1]因为 f(a)=f(b),所以|lga|=|lgb|,所以a=b(舍去),或,所以a+b=

又0<a<b,所以0<a<1<b,令由“对勾”函数的性质知函数(0,1)上为减函数,所以f(a)>f(1)=1+1=2,即a+b的取值范围是(2,+∞).

[解析2]由0<a<b,且f(a)=f(b)得:,利用线性规划得:,化为求的取值范围问题,过点时z最小为2,∴(C)

试题详情

12.(2010天津文)(6)设

(A)a<c<b   (B) )b<c<a  (C) )a<b<c   (D) )b<a<c

答案 D

[解析]本题主要考查利用对数函数的单调性比较大小的基本方法,属于容易题。

因为

[温馨提示]比较对数值的大小时,通常利用0,1进行,本题也可以利用对数函数的图像进行比较。

试题详情

11.(2010四川理)(3)2log510+log50.25=

(A)0     (B)1     (C) 2     (D)4

解析:2log510+log50.25

=log5100+log50.25

=log525

=2

答案 C

试题详情

10.(2010北京文)⑷若a,b是非零向量,且,则函数

  (A)一次函数且是奇函数    (B)一次函数但不是奇函数

  (C)二次函数且是偶函数    (D)二次函数但不是偶函数

答案 A

试题详情


同步练习册答案