0  364007  364015  364021  364025  364031  364033  364037  364043  364045  364051  364057  364061  364063  364067  364073  364075  364081  364085  364087  364091  364093  364097  364099  364101  364102  364103  364105  364106  364107  364109  364111  364115  364117  364121  364123  364127  364133  364135  364141  364145  364147  364151  364157  364163  364165  364171  364175  364177  364183  364187  364193  364201  447090 

3.(2009闵行三中模拟)若函数的值域是,则函数的值域是   

答案

试题详情

2.(2009冠龙高级中学3月月考)已知函数,若,则实数的取值范围是   

答案

试题详情

1.(2009青岛一模)定义:区间的长度为.已知函数的定义域为,值域为,则区间的长度的最大值与最小值的差为_________.

答案 1

试题详情

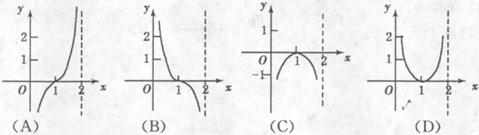
15.(2009深圳一模)若函数的图象如右图,其中为常数.则函数的大致图象是

A.         B.        C.        D.

答案 D

试题详情

14.(2009枣庄一模)设函数   (   )

    A.3             B.4             C.7             D.9

答案 C

试题详情

13.(2009枣庄一模)已知则关于右图中函数图象的表述正确的是    (   )

    A.是的图象              

    B.是的图象

    C.是的图象        

    D.以上说法都不对

答案 D

试题详情

12.(2009江门一模)函数的定义域是

A.   B.   C.    D.

答案 C

试题详情

11.(2009泰安一模)已知函数y=f(x)与互为反函数,函数y=g(x)的图像与y=f(x)图像关于x轴对称,若g(a)=1,则实数a值为

   (A)-e   (B)    (C)    (D) e

答案 C

试题详情

10.(2009日照一模)(函数的图象如右图所示,则函数的图象大致是

答案 C

试题详情

9.(2009日照一模)(6)函数的零点一定位于区间

    A.(1,2)  B.(2,3)  C.(3,4)   D.(4,5)

答案 A

试题详情


同步练习册答案