0  365572  365580  365586  365590  365596  365598  365602  365608  365610  365616  365622  365626  365628  365632  365638  365640  365646  365650  365652  365656  365658  365662  365664  365666  365667  365668  365670  365671  365672  365674  365676  365680  365682  365686  365688  365692  365698  365700  365706  365710  365712  365716  365722  365728  365730  365736  365740  365742  365748  365752  365758  365766  447090 

18.若某有机物中一个碳原子以单键形式连有四个不同的原子或原子团时,该原子被称为手性碳原子。具有手性碳原子的物质常具有光学活性,如有机物

具有光学活性。该有机物发生下列反应后,不会失去光学活性的是                (   )

   A.与银氨溶液反应          B.与NaOH 水溶液反应

   C.与浓硫酸、乙酸共热        D.在铜存在的条件下与氧气反应

试题详情

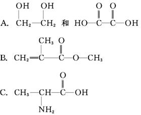
17.下列有机物或有机物组合,在一定条件下不能发生聚合反应的是       (   )

   D.HOOC-COOH 和CH3CH2OH

试题详情

16.要使有机物

   可选用的试剂是                            (   )

   A.Na        B.NaHCO3溶液   C.NaCl溶液    D.NaOH溶液

试题详情

15.从中草药陈蒿中可提取一种利胆的有效成分,其结构简式为,推测该药物不可能具有的化学性质是        (   )

   A.与FeCl3溶液发生显色反应      B.与氢氧化钠溶液反应

   C.与浓溴水反应           D.在稀硫酸溶液中发生水解反应

 

试题详情

14.下列各物质不能与水发生反应的是                    (   )

   A.乙苯      B.乙烯      C.氯乙烷     D.乙酸乙酯

试题详情

13.由CH3CH3→CH3CH2Cl→CH2=CH2→CH3CH2OH的转化过程中,经过的反应是    (   )

   A.取代→加成→氧化         B.裂解→取代→消去

   C.取代→消去→加成         D.取代→消去→水解

试题详情

12.1mol的有机物A,水解后生成2mol的C2H6O 和1mol的C2H2O4,该有机物可以是(   )

   A.CH3OOCCH2COOC2H5             B.C2H5OOCCOOC2H5

 

   C.                 D.CH3COOCH2CH2OOCCH3

试题详情

11.下列有机物一定是丁烯的同系物的是                   (   )

   A.C2H2       B.C2H4       C.C3H6       D.C6H6

试题详情

10.下列各组有机化合物中,不论两者以什么比例混合,只要总物质的量一定,则完全燃烧时生成的水的质量和消耗氧气的质量不变的是            (   )

   A.C3H8,C4H6             B.C3H6,C4H6O

   C.C2H6,C4H6O2             D.CH4O,C3H4O5

试题详情

9.下列有机物的名称正确的是                       (   )

   A.2,2 二甲基3 戊烯         B.4,5 二甲基3 乙基己烷

   C.2,3 二甲基4 乙基己烷       D.2,3,3 三甲基丁烷

试题详情


同步练习册答案