0  379391  379399  379405  379409  379415  379417  379421  379427  379429  379435  379441  379445  379447  379451  379457  379459  379465  379469  379471  379475  379477  379481  379483  379485  379486  379487  379489  379490  379491  379493  379495  379499  379501  379505  379507  379511  379517  379519  379525  379529  379531  379535  379541  379547  379549  379555  379559  379561  379567  379571  379577  379585  447090 

4.若实数xy满足等式,那么的最大值是( )

 A.  B.   C.   D.

试题详情

3.如果函数(a>0,)是增函数,那么函数的图像大致是( )

试题详情

2. 要从其中有50个红球的1000个球中,采用按颜色分层抽样的方法抽取100个进行分析,则应抽取红球的个数为( )

 A.5个   B.10个  C.20个  D.45个

试题详情

1.设全集U=R,,那么下列关系中正确的是( )

 A.MN   B. C.  D.

试题详情

15.(1)设装置由静止释放到导体棒运动到磁场下边界的过程中,作用在线框上的安培力做功为W

    由动能定理 

解得 

(2)设线框刚离开磁场下边界时的速度为,则接着向下运动

由动能定理 

装置在磁场中运动时收到的合力

感应电动势  =Bd

感应电流   =

安培力   

由牛顿第二定律,在t到t+时间内,有

解得 

(3)经过足够长时间后,线框在磁场下边界与最大距离之间往复运动

   由动能定理 

   解得  

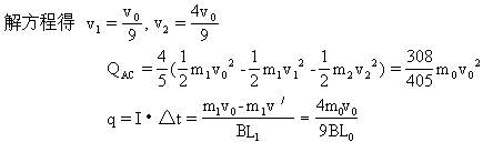
例17 在如图11-24所示的水平导轨上(摩擦、电阻忽略不计),有竖直向下的匀强磁场,磁感强度B,导轨左端的间距为L1=4L0,右端间距为L2=L0。今在导轨上放置AC,DE两根导体棒,质量分别为m1=2m0,m2=m0,电阻R1=4R0,R2=R0。若AC棒以初速度V0向右运动,求AC棒运动的过程中产生的总焦耳热QAC,以及通过它们的总电量q。

 [错解分析]错解:AC棒在磁场力的作用下,做变速运动。运动过程复杂,应从功能关系的角度来分析。由于没有摩擦,最后稳定的状态应为两棒做匀速运动。根据动量守恒定律m1v0=(m1+m2)v′

 整个回路产生的焦耳热

 因为R1=4R0,R2=R0。所以AC棒在运动过程中产生的焦耳热

 对AC棒应用动量定理:BIL1·△t=m1v′-m1v0

 AC棒在磁场力的作用下做变速运动,最后达到运动稳定,两棒都做匀速运动的分析是正确的。但是以此类推认为两棒的运动速度相同是错误的。如果两棒的速度相同则回路中还有磁通量的变化,还会存在感应电动势,感应电流还会受到安培力的作用,AC,DE不可能做匀速运动。

 [正确解答]

 由于棒L1向右运动,回路中产生电流,Ll受安培力的作用后减速,L2受安培力加速使回路中的电流逐渐减小。只需v1,v2满足一定关系,

 

 两棒做匀速运动。

 两棒匀速运动时,I=0,即回路的总电动势为零。所以有

BLlv1=BL2v2

 

 再对DE棒应用动量定理BL2I·△t = m2v2

  

 [小结]

 以前我们做过类似的题。那道题中的平行轨道间距都是一样的。有一些同学不假思索,把那道题的结论照搬到本题中来,犯了生搬硬套的错误。差异就是矛盾。两道题的差别就在平行导轨的宽度不一样上。如何分析它们之间的差别呢?还是要从基本原理出发。平行轨道间距一样的情况两根导体棒的速度相等,才能使回路中的磁通量的变化为零。本题中如果两根导轨的速度一样,由于平行导轨的宽度不同导致磁通量的变化不为零,仍然会有感应电流产生,两根导体棒还会受到安培力的作用,其中的一根继续减速,另一根继续加速,直到回路中的磁通量的变化为零,才使得两根导体棒做匀速运动。抓住了两道题的差异之所在,问题就会迎刃而解。

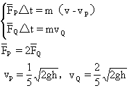
 例18 如图 11-25所示光滑平行金属轨道abcd,轨道的水平部分bcd处于竖直向上的匀强磁场中,bc部分平行导轨宽度是cd部分的2倍,轨道足够长。将质量相同的金属棒P和Q分别置于轨道的ab段和cd段。P棒位于距水平轨道高为h的地方,放开P棒,使其自由下滑,求P棒和Q棒的最终速度。

 [错解分析]错解:

 设P,Q棒的质量为m,长度分别为2L和L,磁感强度为B,P棒进入水平轨道的速度为v0,对于P棒,运用机械能守恒定律得

 当P棒进入水平轨道后,切割磁感线产生感应电流。P棒受到安培力作用而减速,Q棒受到安培力而加速,Q棒运动后也将产生感应电动势,与P棒感应电动势反向,因此回路中的电流将减小。最终达到匀速运动时,回路的电流为零,所以

εpQ

即2BLvp=BLvQ

2vp=vQ

 对于P,Q棒,运用动量守恒定律得到

mv0=mvp+mvQ

 

 错解中对P,Q的运动过程分析是正确的,但在最后求速度时运用动量守恒定律出现错误。因为当P,Q在水平轨道上运动时,它们所受到的合力并不为零。Fp=2BIL,FQ=BIL(设I为回路中的电流),因此P,Q组成的系统动量不守恒。

 [正确解答]

 设P棒从进入水平轨道开始到速度稳定所用的时间为△t,P,Q 对PQ分别应用动量定理得

 [小结]

 运用动量守恒定律和机械能守恒定律之前,要判断题目所给的过程是否满足守恒的条件。动量守恒的条件是:系统所受的合外力为零,或者是在某一方向上所受的合外力为零,则系统在该方向上动量的分量守恒。

试题详情

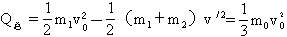
15.(16分)如图所示,两平行的光滑金属导轨安装在一光滑绝缘斜面上,导轨间距为l、

   足够长且电阻忽略不计,导轨平面的倾角为,条形匀强磁场的宽度为d,磁感应强度大小为B、方向与导轨平面垂直。长度为2d的绝缘杆将导体棒和正方形的单匝线框连接在一起组成“”型装置,总质量为m,置于导轨上。导体棒中通以大小恒为I的电流(由外接恒流源产生,图中未图出)。线框的边长为d(d < l),电阻为R,下边与磁场区域上边界重合。将装置由静止释放,导体棒恰好运动到磁场区域下边界处返回,导体棒在整个运动过程中始终与导轨垂直。重力加速度为g。

求:(1)装置从释放到开始返回的过程中,线框中产生的焦耳热Q;

  (2)线框第一次穿越磁场区域所需的时间t1

  (3)经过足够长时间后,线框上边与磁场区域下边界的最大距离m

         

试题详情

14、⑴由动能定理得:

        解得:

⑵设在最大距离ym处的速率为vm,有:

      解得:

        

       得:

⑶小球运动如图所示

    由动能定理得:

    由圆周运动得:

         且:

        解得:

在如图所师的闪光灯电路中,电源的电动势为,电容器的电容为。当闪光灯两端电压达到击穿电压时,闪光灯才有电流通过并发光,正常工作时,

  闪光灯周期性短暂闪光,则可以判定  D

    A.电源的电动势一定小于击穿电压                               

    B.电容器所带的最大电荷量一定为

    C.闪光灯闪光时,电容器所带的电荷量一定增大

    D.在一个闪光周期内,通过电阻的电荷量与通过闪光灯的电

      荷量一定相等

如图所示,理想变压器的原、副线圈匝数比为1:5,原线圈两端

  的交变电压为 氖泡在两端电压达到100V

  时开始发光,下列说法中正确的有 AB

    A.开关接通后,氖泡的发光频率为100Hz

    B.开关接通后,电压表的示数为100 V

    C.开关断开后,电压表的示数变大

    D.开关断开后,变压器的输出功率不变

空间某一静电场的电势轴上分布如图所示,轴上两点BC

  点电场强度在方向上的分量分别是,下列说法中正确的有AD

    A.的大小大于的大小

    B.的方向沿轴正方向

    C.电荷在点受到的电场力在方向上的分量最大

    D.负电荷沿轴从移到的过程中,电场力先做正功,后做负功

试题详情

14、(16分)在场强为B的水平匀强磁场中,一质量为m、带正电q的小球在O静止释放,小球的运动曲线如图所示.已知此曲线在最低点的曲率半径为该点到x轴距离的2倍,重力加速度为g.求:

⑴小球运动到任意位置P(xy)的速率v

  ⑵小球在运动过程中第一次下降的最大距离ym

⑶当在上述磁场中加一竖直向上场强为E()的匀强电场时,小球从O静止释放后获得的最大速率vm

试题详情

15、⑴ab不受安培力作用,由机械能守恒得

        

⑵由能量守恒得:

  在磁场区域有:

  在无磁场区域:

      解得:

⑶在无磁场区域有:

        且:

  在有磁场区域,对a棒:

        且:

       则有:

       解得:

在如图所示的逻辑电路中,当A端输入电信号“1”、B端输入电信号“0”时,则在CD端输出的电信号分别为(C)

 A.1和0    B.0和1  

 C.1和l     D.0和0

如图所示的电路中,三个相同的灯泡abc和电感L1L2与直流电源连接,电感的电阻忽略不计.电键K从闭合状态突然断开时,下列判断正确的有AD 

   A.a先变亮,然后逐渐变暗

B.b先变亮,然后逐渐变暗

C.c先变亮,然后逐渐变暗

D.bc都逐渐变暗

试题详情

17.(14分)

⑴ 从A点射出的粒子,由AA的运动时间为T,根据运动轨迹和对称性可得

     x轴方向        (1分)

    y轴方向   (1分)

    得:  (2分)

⑵ 设到C点距离为△y处射出的粒子通过电场后也沿x轴正方向,粒子第一次达x轴用时△t,水平位移为△x,则    (1分)

若满足,则从电场射出时的速度方向也将沿x轴正方向 (2分)

解之得:  (2分)

ACy坐标为 (n = 1,2,3,……) (1分)

⑶ 当n=1时,粒子射出的坐标为

n=2时,粒子射出的坐标为

n≥3时,沿x轴正方向射出的粒子分布在y1y2之间(如图)y1y2之间的距离为

L= y1y2= 则磁场的最小半径为  (2分)

若使粒子经磁场偏转后汇聚于一点,粒子的运动半径与磁场圆的半径相等(如图),(轨迹圆与磁场圆相交,四边形PO1QO2为棱形) 由 得:  (2分)

08高考

如图所示,间距为L的两条足够长的平行金属导轨与水平面的夹角为θ,导轨光滑且电阻忽略不计.场强为B的条形匀强磁场方向与导轨平面垂直,磁场区域的宽度为d1,间距为d2.两根质量均为m、有效电阻均为R的导体棒ab放在导轨上,并与导轨垂直.(设重力加速度为g)

⑴若a进入第2个磁场区域时,b以与a同样的速度进入第1个磁场区域,求b穿过第1个磁场区域过程中增加的动能△Ek

⑵若a进入第2个磁场区域时,b恰好离开第1个磁场区域;此后a离开第2个磁场区域时,b 又恰好进入第2个磁场区域.且ab在任意一个磁场区域或无磁场区域的运动时间均相.求b穿过第2个磁场区域过程中,两导体棒产生的总焦耳热Q

⑶对于第⑵问所述的运动情况,求a穿出第k个磁场区域时的速率v

 

试题详情


同步练习册答案