0  398942  398950  398956  398960  398966  398968  398972  398978  398980  398986  398992  398996  398998  399002  399008  399010  399016  399020  399022  399026  399028  399032  399034  399036  399037  399038  399040  399041  399042  399044  399046  399050  399052  399056  399058  399062  399068  399070  399076  399080  399082  399086  399092  399098  399100  399106  399110  399112  399118  399122  399128  399136  447090 

1. 在一般情况下,可不考虑万有引力与重力的区别.认为重力等于万有引力,此时有 ,得GM=gR2,这是一个很有用的关系式,在解题时会经常用到.

试题详情

5. 天体中的椭圆运动

 开普勒第一定律(轨道定律):所有行星分别在大小不同的椭圆轨道上围绕太阳运动,太阳在这些椭圆的一个焦点上.

 开普勒第三定律(周期定律):所有行星的椭圆轨道的半长轴的三次方跟公转周期的平方的比值都相等,即

 我们把行星的椭圆轨道近似地当作圆,由r,即得 (恒量),可见k只与恒星的质量M有关,而与行星无关.

☆ 特别提示:

试题详情

4.卫星轨道设置  人造地球卫星的圆心必须和地心重合,由 .可知h越大,即卫星离地面越高,其线速度越小,因此,第一宇宙速度是人造地球卫星绕地球做匀速圆周运动的最大速度.

同步卫星必须设在赤道上方确定的高度处,由

试题详情

3. 卫星上的“超重”与“失重”

 “超重”:卫星进入轨道前加速过程,卫星上物体“超重”.此种情况与“升降机”中物体超重相同.

 “失重”:卫星进入轨道后,正常运转时,卫星上物体完全“失重”(因为重力提供向心力).因此,在卫星上的仪器,凡是制造原理与重力有关的均不能使用.

试题详情

2.随地球自转的向心加速度和环绕运动的向心加速度的本质区别  物体随地球自转的向心加速度是由地面上物体所受万有引力的一小部分提供的,对应的周期为24 h,环绕地球表面运动的向心加速度是由该物体所受的全部万有引力提供的,对应的近地卫星周期为八十几分钟.

试题详情

知识要点:

应用万有引力定律分析天体的运动  (1)基本方法:把天体的运动看成是匀速圆周运动,其所需向心力由万有引力提供.

  

    应用时可根据实际情况选用合适的公式进行分析或计算.

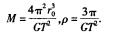
(2)   天体质量M,密度ρ的估算.

    测出卫星绕天体做匀速圆周运动的半径r和周期T,由

  

    当卫星沿天体表面绕天体运行时,r=r0,则

  

人造地球卫星的周期和运行速度  (1)运行速度:由     

   可知r越大,v越小.

   若r=R(地球半径)时,则(为人造地球卫星环绕地球做匀速圆周运动的最大速度)

 (2)周期:由

  

   可见离地面越高,周期越大.

   若r=R,因为

   为人造地球卫星环绕地球做匀速圆周运动的最小周期

此公式与单摆的周期公式相似.这仅仅是形式的相似,其实两者各遵循不同规律.

(3)卫星的发射速度和运行速度

    发射速度是指被发射物体在地面附近离开发射装置的初速度,并且一旦发射后就再无能量补充,被发射物体仍依靠自身的初动能克服地球引力上升一定高度,进入运行轨道.若发射速度等于7.9 km/s,卫星可贴着地面近地运行;若发射速度满足:7.9 km/s<v<11.2 km/s,卫星可在高空沿着圆周轨道或椭圆轨道运行.

   运行速度指卫星在进入运行轨道后绕地球做匀速圆周运动的线速度,其大小公式

   

人造地球同步卫星

(1)人造地球同步卫星的周期与地球自转周期相同.即T=24h=86400 s.

r=4.24×104km  卫星离地面高度h=r-R=6R(为恒量).

运动速度v=2πr/T=3.07km/s(为恒量).

(2)人造地球同步卫星的位置一定是在赤道的上空,即卫星轨道平面和赤道平面重合.

(3)同步卫星的发射:先是用火箭将卫星送到近地轨道上(r≈R),并调整到赤道平面内做近地圆周运动,稳定运行后,根据需要在适当位置启动卫星上的发动机,使卫星在切线方向上加速,卫星从圆轨道变轨到椭圆轨道,变轨后,发动机关闭,卫星将向椭圆轨道的远地点处运行,若不计大气阻力,从近地点向远地点的运动过程中,机械能守恒.但由于引力做负功,运行速度逐渐减小,至远地点时减至最小,由于椭圆轨道远地点的速度小于该点所在的圆轨道的线速度,则卫星在远地点时,需再次启动发动机使卫星速度增至地球同步圆轨道的线速度3.08 km/s,这样卫星进入地球同步圆轨道运行.这种卫星发射方式最经济,现今技术也很成熟,如下图所示.

另一种发射方式为直线发射,由火箭把卫星发射到3000 km赤道上空,然后90°转折飞行,使卫星进入轨道.但这种方式发射场要在赤道上,且要消耗大量能量.

5、极地卫星和近地卫星:极地卫星运行时每圈都经过南北两极,其轨道平面相对地心不动,由于地球自转,极地卫星可以实现全球覆盖.近地卫星是在地球表面附近环绕地球做匀速圆周运动的卫星,其运行的轨道半径可近似认为等于地球的半径,其运行线速度约为7.9 km/s.

   两种卫星的轨道平面一定通过地球的球心.

三种宇宙速度  (1)第一宇宙速度(环绕速度):

 (2)第二宇宙速度(脱离速度):v2=11.2 km/s为使物体挣脱地球引力束缚的最小发射速度.

 (3)第三宇宙速度(逃逸速度):v3=16.7 km/s为使物体挣脱太阳引力束缚的最小发射速度.

☆ 能力要求: 1.重力、万有引力、向心力间的关系  万有引力是形成地面物体所受重力的主要原因,因为地球自转对物体影响不大,所以近似可认为物体重力和地球对物体的万有引力相等,所以有,但事实地球上物体所受万有引力是地球上物体所受重力和绕地球自转向心力的合力,三者本质含义不同。而太空中环绕地球转动的物体所受的万有引力、重力和向心力是完全相同意义的.

试题详情

2、竖直面内圆周运动

(1)      绳(单轨,无支撑):

绳只能给物体施加拉力,而不能有支持力。

这种情况下有

所以小球通过最高点的条件是,通过最高点的临界速度

(实际上小球还没滑到最高点就脱离了轨道)。

例1如图所示,小球以初速度为v0从光滑斜面底部向上滑,恰能到达最大高度为h的斜面顶部。右图中A是内轨半径大于h的光滑轨道、B是内轨半径小于h的光滑轨道、C是内轨半径等于h光滑轨道、D是长为的轻棒,其下端固定一个可随棒绕O点向上转动的小球。小球在底端时的初速度都为v0,则小球在以上四种情况中能到达高度h的有(AB  )

例2  如图所示的是杂技演员表演的“水流星”.一根细长绳的一端,系着一个盛了水的容器.以绳的另一端为圆心,使容器在竖直平面内做半径为R的圆周运动.N为圆周的最高点,M为圆周的最低点.若“水流星”通过最低点时的速度.则下列判断正确的是( )

A.“水流星”到最高点时的速度为零

B.“水流星”通过最高点时,有水从容器中流出

C.“水流星”通过最高点时,水对容器底没有压力

D.“水流星”通过最高点时,绳对容器有向下的拉力

解析:假设水能够通过最高点,则到达到最高点时的速度设为v1,由机械能守恒定律得:,得,而当容器恰好能上升到最高点时的临界条件,此时水对容器的压力为0时,C正确.

[答案]C 

(2)杆(双轨,有支撑):对物体既可以有拉力,也可以有支持力,如图2所示。

①过最高点的临界条件:

②在最高点,如果小球的重力恰好提供其做圆周运动的向心力,即,杆或轨道内壁对小球没有力的作用。

当0<时,小球受到重力和杆对球的支持力(或轨道内壁下侧对球的向上的支持力),此二力的合力提供向心力;

时,小球受到重力和杆向下的拉力(或轨道内壁上侧对球竖直向下的压力),这二力的合力提供向心力。

因此,是小球在最高点受到杆的拉力还是支持力的分界速度,是受到轨道内壁下侧的弹力还是内壁上侧的弹力的分界速度。

例  (04全国卷Ⅲ 20)如图所示,轻杆的一端有一个小球,另一端有光滑的固定轴O,现给球一初速度,使球和杆一起绕O轴在竖直面内转动,不计空气阻力,用F表示球到达最高点时杆对小球的作用力,则F (   )

A.一定是拉力                      B.一定是推力

C.一定等于零                      D.可能是拉力,可能是推力,也可能等于零

答案?D

解析  最高点球受重力mg与杆的作用力F,由牛顿第二定律知mg+F=ma向=m(v为球在最高点的速度,R为球做圆周运动的半径)当v=时,F=0;当v>时,F>0,即拉力;当v<时,F<0,即推力.故D对. 

解析 本题是物体在竖直面内圆周运动的典型模型――轻杆模型(有支撑的情况),杆可以对物体有拉力,也可以有推力,对物体的弹力还可以为零,答案D。

[答案]D

(3)外轨(单轨,有支撑),只能给物体支持力,而不能有拉力。

有支撑的小球,但弹力只可能向上,如车过桥.在这种情况下有: ,否则车将离开桥面,做平抛运动.

例 如图所示,小物块位于半径为R的半球形物体顶端,若给小物块一水平速度,则物块 ( )

A.立即做平抛运动  B.落地时水平位移为

C.落地速度大小为2 D.落地时速度方向与地面成45°角

解析:物体恰好不受轨道的支持力的情况下(物体在最高点做圆周运动)的临界条件是,最高点速度为,因为,所以物体将从最高点开始做平抛运动,A正确;由平抛运动的规律可得:Rx=v0t,所以可得x=2R,B答案正确;落地时竖直分速度,合速度,其方向与地面成45°角,CD正确.

[答案]ACD.

试题详情

   由③⑥两式,消去t,可得到平抛运动的轨迹方程为

    可见,平抛物体运动的轨迹是一条抛物线。

 (2)一个有用的推论:平抛物体任意时刻瞬时速度方向的反向延长线与初速度延长线的交点到抛出点的距离都等于水平位移的一半。

 证明:设物体被抛出后ts末时刻,物体的位置为P,其坐标为xt(ts内的水平位移)和yt(ts内的下落高度);ts末的速度vt的坐标分量为vx、vy,将vt速度反向延长交x轴于x',如图:

  

  由几何关系可知:,即

整理得:,∴

可见,平抛运动物体某时刻的速度反向延长线交x轴坐标值为此时Ox方向位移的一半。

 (3)因平抛运动在竖直方向是匀变速直线运动,所以适合于研究匀变速运动的公式,如Δs=aT2等同样也适用于研究平抛运动竖直方向的运动特点,这一点在研究平抛物体运动的实验中用得较多。

 (4)类平抛运动:凡具有合外力恒定且合外力垂直于初速度特征的曲线运动叫类平抛运动。

 此物体所做的运动可看成是某一方向的匀速直线运动和垂直此方向的匀加速直线运动,这类运动在电场中会涉及,处理方法与平抛运动类似。

圆周运动

1、匀速圆周运动

物体做匀速圆周运动必须具备两个条件:一是有初速度;二是其所受合力大小不变,方向始终与速度方向垂直而指向圆心。

    由于物体所受合力大小不变,方向改变,指向圆心,称之向心力,则物体加速度大小不变。

方向改变,指向圆心,称之向心加速度,其作用是只改变线速度方向,不能改变线速度大小。由于加速度不恒定,所以匀速圆周运动是非匀变速曲线运动。   星体运动是匀速圆周运动的特例。是星体间的万有引力“充当”圆运动的向心力。

    (1)运动特点:轨迹是圆,速率不变。速度方向变化,即加速度方向指向圆心,加速度大小不变。根据牛顿第二定律,做匀速圆周运动的物体所受合力必指向圆心,永远与线速度方向垂直,其大小保持不变。匀速圆周运动属于变加速曲线运动。

    (2)描述匀速圆周运动的物理量

    转数n、频率f、周期T(转数也叫转速)如果时间以秒为单位则转速等于频率n=f

    角速度   

    线速度v    

    线速度与角速度之间的关系:,这是一个重要公式。

    向心加速度和向心力:

                     

    应该注意向心力不是性质力,而是效果力。重力、弹力、摩擦力、万有引力、电场力、磁场力……等等,任何一种性质力或几个性质力的合力、分力等等,只要它的效果是使质点产生向心加速度的,它就是向心力。

    研究圆周运动,找出向心力是关键性的一步:

对匀速圆周运动来说,质点所受的所有力的合力充当向心力,对非匀速圆周运动来说,沿着半径方向的合力充当向心力,切线方向的合力改变速度大小。

试题详情

(二)从动力学的角度分析  对于平抛运动的物体只受重力作用,尽管其速度大小和方向时刻在改变,但其运动的加速度却恒为重力加速度g,因而平抛运动是一种匀变速曲线运动。

 平抛运动中,由于仅有重力对物体做功,因而若把此物体和地球看作一个系统,则在运动过程中,系统每时每刻都遵循机械能守恒定律。应用机械能守恒定律分析、处理此类问题,往往比单用运动学公式方便、简单得多。

试题详情

知识要点:

平抛运动

    (一)从运动学的角度分析  平抛运动可分解为水平方向的匀速直线运动和竖直方向的自由落体运动,以物体的出发点为原点,沿水平和竖直方向建立xOy坐标,如图所示:

则水平方向和竖直方向的分运动分别为    水平方向    竖直方向

   平抛物体在时间t内的位移s可由③⑥两式推得   

  

   位移的方向与水平方向的夹角由下式决定

  

   平抛物体经时间t时的瞬时速度vt可由②⑤两式推得   

   速度vt的方向与水平方向的夹角可由下式决定

  

试题详情


同步练习册答案