0  399078  399086  399092  399096  399102  399104  399108  399114  399116  399122  399128  399132  399134  399138  399144  399146  399152  399156  399158  399162  399164  399168  399170  399172  399173  399174  399176  399177  399178  399180  399182  399186  399188  399192  399194  399198  399204  399206  399212  399216  399218  399222  399228  399234  399236  399242  399246  399248  399254  399258  399264  399272  447090 

3. 将an看成是n的函数即an=f(n).自变量n∈N*an就是一个特殊的函数. 数列的项an,随着n的增大an越来越接近于a,也就是f(n) 越来越接近于a.

对于一般的函数f(x),自变量x∈R,是否有同样的结论呢?这节课就来研究当

x→∞时,函数f(x)的极限.

试题详情

2.几个重要极限:

  (1)      (2)(C是常数)

  (3)无穷等比数列()的极限是0,即   

试题详情

1.数列极限的定义:

  一般地,如果当项数无限增大时,无穷数列的项无限趋近于某个常数(即无限趋近于0),那么就说数列为极限,或者说是数列的极限.记作,读作“当趋向于无穷大时,的极限等于

∞”表示“趋向于无穷大”,即无限增大的意思有时也记作:当∞时,

理解:数列的极限的直观描述方式的定义,只是对数列变化趋势的定性说明,而不是定量化的定义.“随着项数n的无限增大,数列的项an无限地趋近于某个常数a”的意义有两个方面:一方面,数列的项an趋近于a是在无限过程中进行的,即随着n的增大an越来越接近于a;另一方面,an不是一般地趋近于a,而是“无限”地趋近于a,即|ana|随n的增大而无限地趋近于0.

试题详情

18、(2010·合肥模拟)

[答案](1)放热  加入了催化剂  催化剂可以降低活化能,但不能改变化学反应的反应热

(2)400-500°C  常压

(3)0.015mol·L-1 ·S-1或0.9mol·L-1 ·min-1   1620   不变   

()

试题详情

17、(2010·天津和平区模拟)氮化硅是一种新型陶瓷材料,它可由石英与焦炭在高温的氮气流中,通过以下反应制得:

⑴配平上述反应的化学方程式(将化学计量数填在方框内)

⑵该反应中的氧化剂是      ,其还原产物是    

⑶该反应的平衡常数表达式为K=       

⑷若知上述反应为放热反应,则其反应热为ΔH    零(填“大于”、“小于”或“等于”);升高温度,其平衡常数值   (填“增大”、“减小”或“不变”)

⑸若使压强增大,则上述平衡向    反应方向移动(填“正”或“逆”);

⑹若已知CO生成速率为v(CO)=18mol/(L•min)则N2的消耗速率为v(N2)=    mol/(L•min)。

[解析]本题是一道主要考查化学反应速率和化学平衡的综合题。

(1)用化合价升降法配平3SiO2+6+22Si3N4+6CO

   (2)N2为氧化剂,C为还原剂,Si3N4为还原产物。

(3)因为N2、CO为气体,K=     ;

(4)反应热用ΔH来表示,ΔH<0,升高温度,平衡向吸热方向移动,即向逆反应方向移动,K减小。

(5)增大压强, 平衡向气体体积减小的方向移动,即向逆反应方向移动。

(6)速率之比等于化学计量数之比,则N2消耗速率为 mol·(L·min)1=6 mol·(L·min)1

[答案](1)3  6  2  1  6  (2)N2 (3)Si3N4   (4)小于  减小  (5)逆  (6) 6

试题详情

16、(2010·海南琼海模拟)在一体积为1L的密闭容器中发生反应:2HI(g)  H­2(g) + I2(g) ,当HI气体的起始浓度为1mol/L,H­2和I2气体的起始浓度为0时,出现如下可能的图像

下列有关说法正确的是( )

  A、甲、乙中的反应温度不同,压强相同

  B、甲中可能未使用催化剂,乙中可能使用了催化剂

  C、丙中的平衡混合物中,物质H­2的浓度等于0.6mol/L

  D、丁和乙比较,丁中可能增大了反应体系的压强

[答案]选B。

试题详情

15、(2010·北京首都学院附中模拟)在一定条件下,反应2AB;△H = Q kJ/mol 的反应时间与生成物AB的质量分数(AB%)的关系如图所示,其中a为500℃,b为300℃时的情况(其他条件不变),c则为在时刻开始缩小容器容积(温度维持300℃)的情况,则(  )

A.AB可能为气体   B.A2与B2都为气体   C.Q >0    D. Q <0 

[答案]选D。

试题详情

14、(2010·佛山模拟)2SO2(g)+O2(g)2SO3(g)   △H<0 是制备硫酸的重要反应。下列叙述正确的

是(  )

  A.选用有效的催化剂能增大正反应速率并提高SO2的转化率

  B.增大反应体系的压强,反应速率不一定增大。

  C.该反应是放热反应,降低温度将缩短反应达到平衡的时间

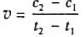
  D.在t1、t2时刻,SO3(g)的浓度分别是c1,c2,则时间间隔t1-t2内,则SO3(g)生成的平均速率为

[解析]选D。A项,选用有效的催化剂能增大正反应速率,但是不能改变SO2的转化率;B项,增大反应体系的压强,反应物浓度不一定增大,所以反应速率不一定增大;C项,该反应是放热反应,降低温度会使平衡正向移动,但是反应速率降低,反应达到平衡的时间将变长;D项,在t1、t2时刻,SO3(g)的浓度分别是c1,c2,则时间间隔t1-t2内,则SO3(g)生成的平均速率为      。

试题详情

13、(2010·六安模拟)对已建立化学平衡的某可逆反应,当改变条件使化学平衡向正反应方向移动时,下列有关叙述正确的是(  )

①生成物的百分含量一定增加   ②生成物的产量一定增加   ③反应物的转化率一定增大

④反应物的浓度一定降低   ⑤正反应速率一定大于逆反应速率   ⑥使用了适宜的催化剂

A.②⑤     B.①②        C.③⑤      D.④⑥

[解析]选A。减少生成物的量使化学平衡向正反应方向移动时,正反应速率一定大于逆反应速率,生成物的百分含量减小,生成物的产量增加,反应物的转化率增大,反应物的浓度一定降低;当增大反应物浓度使化学平衡向正反应方向移动时,正反应速率一定大于逆反应速率,生成物的产量增加,反应物的转化率降低,反应物的浓度增大。

试题详情

12、(2010·广州模拟)各可逆反应达平衡后,改变反应条件,其变化趋势正确的是(  )

[解析]选B。A项,相当于将醋酸稀释,醋酸的电离程度增大,但是电离出的C(H+)减小,溶液的pH增大;B项,增加KCl的量对平衡无影响;C项,恒温、恒压下充入惰性气体,相当于减小物质浓度,结合化学方程式可知,浓度积大于平衡常数,所以平衡逆向移动,H2的转化率减小;D项,密闭容器中,恒压条件下升高温度,平衡向吸热方向移动,即向正反应方向移动,CH3O CH3的转化率增大。

试题详情


同步练习册答案