0  419900  419908  419914  419918  419924  419926  419930  419936  419938  419944  419950  419954  419956  419960  419966  419968  419974  419978  419980  419984  419986  419990  419992  419994  419995  419996  419998  419999  420000  420002  420004  420008  420010  420014  420016  420020  420026  420028  420034  420038  420040  420044  420050  420056  420058  420064  420068  420070  420076  420080  420086  420094  447090 

(29)用米尺测量金属导线的长度,测三次,求出平均值L.在金属导线三个不同的位置上用   测量直径,求出平均值d.

(30)用伏安法测量金属导线的电阻R.试把下图中所给的器材连接成测量R的合适的线路.图中安培表的量程为0.6安,内阻接近1欧;伏特表的量程为3伏,内阻为几千欧;电源的电动势为6伏;变阻器的阻值为0-20欧.在闭合电键前,变阻器的滑动触点应处于正确位置.

(31)用上面测得的金属导线长度L、直径d和电阻R,可根据电阻率的表达式ρ=    算出所测金属的电阻率.

试题详情

(21)中子的质量为1.0087u,质子的质量为1.0073u,氘核的质量为2.0136u.中子和质子结合成氘核时释放的能量为     焦耳.

计算结果取两位有效数字.

1u=1.7×10-27千克.

(22)图中A、B是体积相同的气缸,B内有一导热的、可在气缸内无摩擦滑动的、体积不计的活塞C,D为不导热的阀门.起初,阀门关闭,A内装有压强p1=2.0×105帕,温度T1=300K的氮气.B内装有压强p2=1.0×105帕,温度T2=600K的氧气.阀门打开后,活塞C向右移动,最后达到平衡.以V1和V2分别表示平衡后氮气和氧气的体积,则V1∶V2=    .

(假定氧气和氮气均为理想气体,并与外界无热交换,连接气缸的管道体积可忽略)

(23)下左图中实线是一列简谐波在某一时刻的波形图线.虚线是0.2秒后它的波形图线.这列波可能的传播速度是   .

(24)某一用直流电动机提升重物的装置,如上右图所示.重物的质量m=50千克,电源的电动势ε=110伏特,不计电源内阻及各处的摩擦.当电动机以v=0.90米/秒的恒定速度向上提升重物时,电路中的电流强度I=5安培,由此可知电动机线圈的电阻R=    欧姆.

(25)在测定匀变速直线运动的加速度的实验中,用打点计时器记录纸带运动的时间.计时器所用电源的频率为50赫.图为做匀变速直线运动的小车带动的纸带上记录的一些点,在每相邻的两点中间都有四个点未画出.按时间顺序取0、1、2、3、4、5六个点,用米尺量出1、2、3、4、5点到0点的距离分别是(单位:厘米),由此可得小车的加速度的大小为    米/秒2,方向    .

8.78  16.08  21.87  26.16  28.94

(26)电阻为R的矩形导线框abcd,边长ab=L,ad=h,质量为m,自某一高度自由落下,通过一匀强磁场,磁场方向垂直纸面向里,磁场区域的宽度为h(如下页图所示).若线框恰好以恒定速度通过磁场,线框中产生的焦耳热是    .(不考虑空气阻力)

(27)质量为m的运动员站在质量为m/2的均匀长板AB的中点,板位于水平地面上,可绕通过B点的水平轴转动,板的A端系有轻绳,轻绳的另一端绕过两个定滑轮后,握在运动员手中.当运动员用力拉绳时,滑轮两侧的绳都保持在竖直方向,如上右图所示.要使板的A端离开地面,运动员作用于绳的最小拉力是    .

(28)一个房间的地面面积是15米2,高3分.试估算该房间内空气的质量.已知空气的平均摩尔质量是2.9×10-2千克/摩尔.

答:             千克.

试题详情

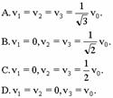
(13)在光滑水平面上有三个完全相同的小球排成一条直线.2、3小球静止,并靠在一起,1球以速度v0射向它们(如图).设碰撞中不损失机械能,则碰后三个小球的速度可能值是

(B卷14题)

(14)红色、绿色和黄色的三束平行光分别沿主轴射向同一个玻璃凸透镜,通过透镜后会聚到主轴上,会聚点到光心的距离分别是f、f绿、f,则

(B卷15题)

A.f=f绿=f.  C.f绿<f<f.

B.f<f<f绿.  D.f>f绿>f.

(15)在光滑水平地面上有一木板,一木棒可沿水平轴O转动,其下端B搁在木板上,而整个系统处于静止状态(如图).现在用水平力F向左推木板,但木板仍未动.由此可以得出结论:施力F后,木板和木棒之间的正压力

(B卷13题)

A.变大.   B.不变.

C.变小.   D.条件不足,不能判断如何改变.

(16)玻尔在他提出的原子模型中所做的假设有:

(B卷17题)

A.原子处于称为定态的能量状态时,虽然电子做加速运动,但并不向外辐射能量.

B.原子的不同能量状态与电子沿不同的圆轨道绕核运动相对应,而电子的可能轨道的分布是不连续的.

C.电子从一个轨道跃迁到另一轨道时,辐射(或吸收)一定频率的光子.

D.电子跃迁时辐射的光子的频率等于电子绕核做圆周运动的频率.

(17)一个点电荷,从静电场中的a点移到b点,其电势能的变化为零,则

(B卷18题)

A.a、b两点的场强一定相等.

B.该点电荷一定沿等势面移动.

C.作用于该点电荷的电场力与其移动方向总是垂直的.

D.a、b两点的电势一定相等.

(18)一平行板电容器C,极板是水平放置的,它和三个可变电阻及电源联接成如图所示的电路.今有一质量为m的带电油滴悬浮在两极板之间静止不动.要使油滴上升,可采用的办法是

(B卷16题)

A.增大R1.  B.增大R2.  C.增大R3.  D.减小R2.

(19)一平行板电容器充电后与电源断开,负极板接地.在两极板间有一正电荷(电量很小)固定在P点,如下图所示.以E表示两极板间的场强,U表示电容器的电压,W表示正电荷在P点的电势能.若保持负极板不动,将正极板移到图中虚线所示的位置,则

A.U变小,E不变.   B.E变大,W变大.

C.U变小,W不变.   D.U不变,W不变.

(B卷20题)

(20)对于一定质量的理想气体,在下列各种过程中,可能发生的过程是

(B卷19题)

A.气体膨胀对外做功,温度升高.   B.气体吸热,温度降低.

C.气体放热,压强增大. D.气体放热,温度不变.

第Ⅱ卷(非选择试题共60分)

试题详情

(1)设地球表面的重力加速度为g0,物体在距地心4R(R是地球半径)处,由于地球的作用而产生的加速度为g,则g/g0为:

(B卷2题)

A.1. B.1/9. C.1/4. D.1/16.

(2)若单摆的摆长不变,摆球的质量增加为原来的4倍,摆球经过平衡位置时的速度减小为原来的1/2,则单摆振动的

(B卷3题)

A.频率不变,振幅不变.  B.频率不变,振幅改变.

C.频率改变,振幅改变.  D.频率改变,振幅不变.

(B卷1题)

(4)两辆汽车在同一平直路面上行驶,它们的质量之比m1∶m2=1∶2,速度之比v1∶v2=2∶1.当两车急刹车后,甲车滑行的最大距离为s1,乙车滑行的最大距离为s2.设两车与路面间的滑动摩擦系数相等,不计空气阻力,则

(B卷5题)

A.s1∶s2=1∶2.  B.s1∶s2=1∶1.

C.s1∶s2=2∶1.  D.s1∶s2=4∶1.

(5)一轻弹簧上端固定,下端挂一重物,平衡时弹簧伸长了4厘米.再将重物向下拉1厘米,然后放手,则在刚释放的瞬间重物的加速度是(g取10米/秒2)

(B卷6题)

A.2.5米/秒2. B.7.5米/秒2.

C.10米/秒2.  D.12.5米/秒2.

(6)一质量为m的小球,用长为l的轻绳悬挂于O点.小球在水平拉力F作用下,从平衡位置P点很缓慢地移动到Q点(如图所示),则力F所做的功为

A.mglcosθ. B.mgl(1-cosθ).

C.Flsinθ.  D.Flθ.

(B卷7题)

(7)在图示的电路中,已知电容C=2微法,电源电动势ε=12伏特,内电阻不计,R1∶R2∶R3∶R4=1∶2∶6∶3.则电容器极板a所带的电量为

A.-8×10-6库. B.4×10-6库.

C.-4×10-6库. D.8×10-6库.

(B卷8题)

(8)在下页图所示的电路中,当滑线变阻器的滑动触点向b端移动时,

A.伏特表V的读数增大,安培表A的读数减小.

B.伏特表V和安培表A的读数都增大.

C.伏特表V和安培表A的读数都减小.

D.伏特表V的读数减小,安培表A的读数增大.

(B卷9题)

(9)一矩形通电线框abcd,可绕其中心轴OO′转动,它处在与OO′垂直的匀强磁场中(如图).在磁场作用下线框开始转动,最后静止在平衡位置.则平衡后

A.线框四边都不受磁场的作用力.

B.线框四边受到指向线框外部的磁场作用力,但合力为零.

C.线框四边受到指向线框内部的磁场作用力,但合力为零.

D.线框的一对边受到指向线框外部的磁场作用力,另一对边受到指向线框内部的磁场作用力,但合力为零.

(B卷4题)

(10)一架飞机水平地匀速飞行.从飞机上每隔1秒钟释放一个铁球,先后共释放4个.若不计空气阻力,则四个球

(B卷11题)

A.在空中任何时刻总是排成抛物线;它们的落地点是等间距的.

B.在空中任何时刻总是排成抛物线;它们的落地点是不等间距的.

C.在空中任何时刻总在飞机正下方排成坚直的直线;它们的落地点是等间距的.

D.在空中任何时刻总在飞机正下方排成竖直的直线;它们的落地点是不等间距的.

(11)p-T图上的图线abc表示一定质量的理想气体的状态变化过程,此过程在p-V图上的图线应为

(B卷12题)

(12)在下列四个日光灯的接线图中(S为起辉器,L为镇流器),正确的是

(B卷10题)

试题详情

N个长度逐个增大的金属圆筒和一个靶,它们沿轴线排列成一串,如图所示(图中只画出了六个圆筒,作为示意).各筒和靶相间地连接到频率为υ、最大电压值为U的正弦交流电源的两端.整个装置放在高真空容器中.圆筒的两底面中心开有小孔.现有一电量为q、质量为m的正离子沿轴线射入圆筒,并将在圆筒间及圆筒与靶间的缝隙处受到电场力的作用而加速(设圆筒内部没有电场).缝隙的宽度很小,离子穿过缝隙的时间可以不计.已知离子进入第一个圆筒左端的速度为v1,且此时第一、二两个圆筒间的电势差V1-V2=-U.为使打到靶上的离子获得最大能量,各个圆筒的长度应满足什么条件?并求出在这种情况下打到靶上的离子的能量.

试题详情

一圆筒形气缸静置于地面上,如上右图所示.气缸筒的质量M,活塞(连同手柄)的质量为m,气缸内部的横截面积为S.大气压强为p0.平衡时气缸内的容积为V.现用手握住活塞手柄缓慢向上提.设气缸足够长,在整个上提过程中气体温度保持不变,并不计气缸内气体的重量及活塞与气缸壁间的摩擦.求将气缸刚提离地面时活塞上升的距离.

试题详情

用细线悬挂一质量为M的木块,木块静止,如下左图所示.现有一质量为m的子弹自左方水平地射穿此木块,穿透前后子弹的速度分别为v0和v.求木块能摆到的最大高度.(设子弹穿过木块的时间很短,可不计)

       

试题详情

4.(3分)由以下四种说法中选出正确说法,并将正确说法前的字母填在题后方括号内.

A.上述电流表内电阻的测得值比其真实值小,这一因素使得用上述改装成的伏特表测定电压时,其读数比伏特表两端的实际电压小.

B.上述电流表内电阻的测得值比其真实值大,这一因素使得用上述改装成的伏特表测定电压时,其读数比伏特表两端的实际电压小.

C.上述电流表内电阻的测得值比其真实值小,这一因素使得用上述改装成的伏特表测定电压时,其读数比伏特表两端的实际电压大.

D.上述电流表内电阻的测得值比其真实值大,这一因素使得用上述改装成的伏特表测定电压时,其读数比伏特表两端的实际电压大.

(2)(3分)有一架托盘天平,没有游码,最小砝码为100毫克.用这架天平称量一个物体,当右盘中加上36.20克砝码时,天平指针向左偏1.0小格,如图中实箭头所示.如果在右盘中再加上100毫克的砝码,天平指针则向右偏1.5小格,如图中虚箭头所示.这个物体的质量可读为             克.

试题详情

3.(2分)如果按正确实验步骤测得的R值为100欧,已知电流表的满偏电流为500微安,现在要把它改装成量程为2伏特的伏特表,则应串联的分压电阻为           欧.

试题详情

2.(2分)某学生进行的实验步骤如下:

①先将R的阻值调到最大,合上K1,调节R的阻值,使电流表的指针偏转到满刻度.

②合上K2,调节R′和R的阻值,使电流表的指针偏转到满刻度的一半.

③记下R的阻值.

指出上述实验步骤中有什么错误.

答:         

试题详情


同步练习册答案