0  419925  419933  419939  419943  419949  419951  419955  419961  419963  419969  419975  419979  419981  419985  419991  419993  419999  420003  420005  420009  420011  420015  420017  420019  420020  420021  420023  420024  420025  420027  420029  420033  420035  420039  420041  420045  420051  420053  420059  420063  420065  420069  420075  420081  420083  420089  420093  420095  420101  420105  420111  420119  447090 

26.解:(1)计算电子打到记录纸上的最高点的坐标

设v0为电子沿A、B板的中心线射入电场时的初速度,则

  ①

电子在中心线方向的运动为匀速运动,设电子穿过A、B板的时间为t0,则

l=v0t0  ②

图(1)

电子在垂直A、B板方向的运动为匀加速直线运动.对于恰能穿过A、B板的电子,在它通过时加在两板间的电压uc应满足

  ③

联立①、②、③式解得

此电子从A、B板射出时沿y方向的分速度为

   ④

此后,此电子作匀速直线运动,它打在记录纸上的点最高,设纵坐标为y,由图(1)可得

   ⑤

由以上各式解得

    ⑥

从题给的u-t图线可知,加于两板电压u的周期T0=0.10秒,u的最大值um=100伏,因为uC<um,在一个周期T0内,只有开始的一段时间间隔△t内有电子通过A、B板

   ⑦

因为电子打在记录纸上的最高点不止一个,根据题中关于坐标原点与起始记录时刻的规定,第一个最高点的x坐标为

  ⑧

第二个最高点的x坐标为

  ⑨

第三个最高点的x坐标为

由于记录筒的周长为20厘米,所以第三个最高点已与第一个最高点重合,即电子打到记录纸上的最高点只有两个,它们的x坐标分别由⑧和⑨表示

(2)电子打到记录纸上所形成的图线,如图(2)所示.

评分标准:本题12分.

第(1)问10分,①、②、③、④、⑤、⑥式各1分,⑦式2分,⑧、⑨式各1分.

第(2)问2分,有任何错误都不给这2分.

试题详情

25.解:物块与钢板碰撞时的速度

   ①

设v1表示质量为m的物块与钢板碰撞后一起开始向下运动的速度,因碰撞时间极短,动量守恒,

mv0=2mv1  ②

刚碰完时弹簧的弹性势能为EP.当它们一起回到O点时,弹簧无形变,弹性势能为零,根据题给条件,这时物块与钢板的速度为零,由机械能守恒,

   ③

设v2表示质量为2m的物块与钢板碰撞后开始一起向下运动的速度,则有

2mv0=3mv2    ④

仍继续向上运动,设此时速度为v,则有

   ⑤

在以上两种情况中,弹簧的初始压缩量都是x0,故有

当质量为2m的物块与钢板一起回到O点时,弹簧的弹力为零,物块与钢板只受到重力作用,加速度为g.一过O点,钢板受到弹簧向下的拉力作用,加速度大于g.由于物块与钢板不粘连,物块不可能受到钢板的拉力,其加速度仍为g.故在O点物块与钢板分离,分离后,物块以速度v竖直上升,则由以上各式解得,物块向上运动所到最高点与O点的距离为

  ⑦

评分标准:本题12分.

①、②、③、④式各1分,⑤式2分,⑥式3分,得出⑦式再给3分.

试题详情

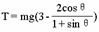
24.解:设细线长为l,球的电量为q,场强为E.若电量q为正,则场强方向在题图中向右,反之向左.从释放点到左侧最高点,重力势能的减少等于电势能的增加,

mglcosθ=qEl(1+sinθ) ①

若小球运动到最低点时的速度为v,此时线的拉力为T,由能量关系得

   ②

由牛顿第二定律得

由以上各式解得

评分标准:本题11分.

①、②式各3分,③式2分,④式3分.

试题详情

23.解:   在以下的计算中,都以1厘米汞柱产生的压强作为压强的单位.

设气体初态的压强为p1,则有

p1=p0+H   ①

设S为粗圆筒的横截面积,气体初态的体积V1=Sl.

设气体末态的压强为P2,有

    ②

设末态气柱的长度为l,气体体积为V2=Sl

由玻意耳定律得

P1V1=P2V2  ③

活塞B上移的距离d为

  ④

代入数据解得

d=8厘米   ⑤

评分标准:本题9分.

①式1分,②式2分,③式1分,④式3分,⑤式2分.

试题详情

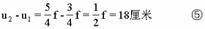
22.解:先求蜡烛的原位置

由放大率公式

得   v1=-4u1  ①

由透镜成像公式

   ②

解得

再求蜡烛移动后的位置,由放大率公式得

v2=4u2

由透镜成像公式

  ④

解得

所以蜡烛应向远离透镜的方向移动,移动的距离为

评分标准:本题9分.

①式2分,②式1分,③式2分,④式1分,⑤式2分.

物体移动方向正确的给1分.

试题详情

20.4×108    (5分.只要数量级对,就给5分)

试题详情

17.A1    (2分),

如右图  (4分,线路有错就不给这4分)

试题详情

16.A,B,C,D  (2分.选不全的给0分)

保持气体的温度恒定    (2分)

保持气体的质量不变    (2分)

试题详情

15.29.80 (5分,答29.8的同样给5分)

试题详情

11.B、D    12.A、D    13.A、D    14.A   

试题详情


同步练习册答案