0  421118  421126  421132  421136  421142  421144  421148  421154  421156  421162  421168  421172  421174  421178  421184  421186  421192  421196  421198  421202  421204  421208  421210  421212  421213  421214  421216  421217  421218  421220  421222  421226  421228  421232  421234  421238  421244  421246  421252  421256  421258  421262  421268  421274  421276  421282  421286  421288  421294  421298  421304  421312  447090 

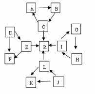
27.(16分)某化学兴趣小组在探究常见物质转化时,发现部分物质存在如图所示的三角转化关系(部分反应物或生成物已略去)。已知①图中每个小三角形的三种物质中至少含有一种相同元素,K与L、A与B分别含有相同的元素。②D,J为固体单质,R为气体单质,其余为常见化合物。③A能使品红溶液褪色,也能使澄清石灰水变浑浊。④E为淡黄色化合物,E与C或L反应都能生成R。⑤I为氧化物,I与F或C都能反应;G和L反应生成难溶物H,H具有较强的吸附性。

(1) J物质的化学式为         ,B所形成的晶体

         晶体,工业上要让B转化为C,与B反应的原料是         

(2)标况下,由E生成R  11.2 L时转移的电子数为  

(3)C+JA+L的化学方程式为:          

I+F→G的离子方程式为:             

(4)常温下,测得一定浓度的G溶液的pH=10,试用离子方程式表示其原因       

(5)J的最简单氢化物可与空气在碱性溶液中形成燃料电池,其负极电极反应式为             

试题详情

26.(14分)某兴趣小组的学生根据Mg与CO2反应原理,推测钠也应能在CO2中燃烧,为了确定其生成产物并进行实验论证。某同学设计了下图所示装置进行实验(已知PdCl2能被CO还原得到黑色的Pd),请回答下列问题:

(1)为使反应随开随用,随关随停,方框内应选用下图所示      装置(填字母代号)。

(2)实验室制取二氧化碳气体宜用的药品是         (填标号)。

①石灰石,②纯碱,③小苏打,④18.4 mol·L-1硫酸,⑤11.2mol·L-1盐酸,⑥蒸馏水,⑦木炭粉。

(3)在2装置内进行反应的离子方程式为                      。检查装置气密性并装好药品后,点燃酒精灯之前待装置        (填数字编号)中出现     现象时,再点燃酒精灯。

(4)①若装置6中有黑色沉淀,装置4中残留固体(只有一种物质)加盐酸后有能使澄清石灰水变浑浊的气体放出,则钠与二氧化碳反应的化学方程式为             

②若装置6中溶液无明显现象,装置4中残留固体(有两种物质)加盐酸后有能使澄清石灰水变浑浊的气体放出,则钠与二氧化碳反应的化学方程式为             

试题详情

25.(14分)已知物质M由属于同一周期的X.Y两种短周期元素组成,X原子的最外层电子数是最内层电子数的一半,Y元素最高正价与它的负价代数和为6。M与其他物质的转化关系如下(部分产物已略去):

(1)已知元素Z与Y是最外层电子数相同的短周期元素,那么Z与Y分别与氢形成的氢化物中沸点较高的是          (填化学式),原因是                 

(2)若A是一种常见的酸性氧化物,且可用于制造玻璃,则E溶液与F溶液反应的离子方程式是:

                                 

(3)若A是与X、Y同周期元素的一种常见金属单质,且A与B溶液能够反应,则其化学方程式是:

                                 

(4)若A是一种常见的化肥,式量为79,且E与F生成G时有白烟产生,则G的电子式是:

           

(5)若A是一种溶液,只可能含有H+.NH4+、Mg2+、Fe3+、Al3+、CO32-

SO42中的某些离子,当向该溶液中加入B溶液时发现生成沉淀的物质的量随B溶液的体积变化如图所示,由此可知,该溶液中肯定含有的离子是             (微粒次序按摩尔质量从小到大,下同),物质的量浓度之比为        

试题详情

24.如图所示为放置在竖直平面内游戏滑轨的模拟装置,滑轨由四部分粗细均匀的金属杆组成,其中倾斜直轨AB与水平直轨CD长均为L=3m,圆弧形轨道APDBQC均光滑,BQC的半径为r=1m,APD的半径为R=2m,ABCD与两圆弧形轨道相切,O2AO1B与竖直方向的夹角均为q=37°.现有一质量为m=1kg的小球穿在滑轨上,以初动能Ek0B点开始沿BA向上运动,小球与两段直轨道间的动摩擦因数均为μ,设小球经过轨道连接处均无能量损失.求:(g=10m/s2,sin37°=0.6,cos37°=0.8)

(1)要使小球完成一周运动回到B点,求初动能EK0至少多大;

(2)若小球以第一问Ek0数值从B出发,求小球第二次到达D点时的动能及小球在CD段上运动的总路程.

试题详情

23. 如图所示,绝缘的水平桌面上方有一竖直方向的矩形区域,该区域是由三个边长均为L的正方形区域ABFE、BCGF和CDHG首尾相接组成的,且矩形的下边EH与桌面相接。三个正方形区域中分别存在方向为竖直向下、竖直向上、竖直向上的匀强电场,其场强大小比例为1:1:2。现有一带正电的滑块以某一初速度从E点射入场区,初速度方向水平向右,滑块最终恰从D点射出场区,已知滑块在ABFE区域所受静电力和所受重力大小相等,桌面与滑块之间的滑动摩擦因素为0.125,重力加速度为g,滑块可以视作质点。求:

(1)滑块进入CDHG区域时的速度大小。

(2)滑块在ADHE区域运动的总时间。

试题详情

22.(16分)一质量m=2.0kg的小物块以一定的初速度冲上一倾角为37º足够长的斜面,某同学利用传感器测出了小物块冲上斜面过程中多个时刻的瞬时速度,并用计算机做出了小物块上滑过程的速度-时间图线,如图所示。(取sin37º=0.6,cos37º=0.8,g =10m/s2)求:

(1)小物块冲上斜面过程中加速度的大小;

(2)小物块与斜面间的动摩擦因数;

(3)小物块返回斜面底端时的动能.

试题详情

21.(20分)

Ⅰ(9分)

在测定匀变速直线运动加速度的实验中,选定一条纸带如图所示,从0点开始,每5个点取一个计数点的纸带,其中0、1、2、3、4、5、6都为记数点。测得:x1=1.40cm,x2=1.90cm,x3=2.38cm,x4=2.88cm,x5=3.39cm,x6=3.87cm。

 

⑴在计时器打出点4时,小车的速度分别为:v4 =    cm/s;

⑵加速度a =    cm/s2;(此答案保留三位有效数字)

⑶如果当时电网中交变电流的频率是f=51Hz,而做实验的同学并不知道,那么加速度的测

量值与实际值相比________   ___(选填:偏大、偏小或不变).

Ⅱ(11分)

(1)图Ⅰ-1是探究加速度与力、质量关系的实验示意图。根据某次实验记录的数据,作出a-F图线如图Ⅰ-2所示,图线不经过原点的原因是       ;⑵平衡摩擦时,主要是平衡了       之间以及       之间的摩擦。

⑶几位同学分析所得到的a-F图线

不是一条直线的原因后,重新设计了

一个实验如图Ⅰ-3所示,滑块M放在

气垫导轨上,并在滑块上固定一个速

度传感器,力传感器固定在另一水平

台子上,分别与两台电脑相连,气垫

导轨连上气泵并调成水平。多次改变

钩码m的质量,由速度和力传感器可

以得到多组不同的加速度a、力F的值。则下列说法中正确的是 (    )  

A.由于空气阻力及绳子与滑轮间的摩擦很小,可以得出a与F成正比的结论,图线是倾斜

的直线

B.力传感器测得的力F=mg/2,在实验时应确保钩码的质量m远小于滑块的质量M

C.除空气阻力及绳子与滑轮间的摩擦力之外,动滑轮C的质量是实验最大的误差来源

D.实验中测出加速度a的值不可能大于重力加速度g

试题详情

20.水平地面上有两个固定的、高度相同的粗糙斜面甲和乙,乙的斜面倾角大,甲、乙斜面长分别为S、L1,如图所示。两个完全相同的小滑块A、B可视为质点)同时由静止开始从甲、乙两个斜面的顶端释放,小滑块A一直沿斜面甲滑到底端C,而小滑块B滑到底端P后沿水平面滑行到D处(小滑块B在P点从斜面滑到水平面的速度大小不变),在水平面上滑行的距离PD=L2,且S=L1+L2。小滑块A、B与两个斜面和水平面间的动摩擦因数相同,则(   )

A.滑块A到达底端C点时的动能一定比滑块B到达D点时的动能小

B.两个滑块在斜面上加速下滑的过程中,到达同一高度时,动能可能相同

C.A、B两个滑块从斜面顶端分别运动到C、D的过程中,滑块A重力做功的平均功率小于滑块B重力做功的平均功率

D.A、B滑块从斜面顶端分别运动到C、D的过程中,由于克服摩擦而产生的热量一定相同

非选择题部分(共180分)

非选择题部分共10题,共180分。

试题详情

19.如图3所示,从光滑的1/4圆弧槽的最高点滑下的小滑块,滑出槽口时速度方向为水平方

向,槽口与一个半球顶点相切,半球底面为水平,若要使小物块滑出槽口后不沿半球面下滑,

已知圆弧轨道的半径为R1,半球的半径为R2,则R1R2应满足的关系是(    )

A.    B.

C.    D.

试题详情

18.1798年英国物理学家卡文迪许测出万有引力常量G,因此卡文迪许被人们称为能称出地球质量的人,若已知万有引力常量G,地球表面处的重力加速度g,地球半径为R,地球上一个昼夜的时间为T1(地球自转周期),一年的时间T2(地球公转的周期),地球中心到月球中心的距离L1,地球中心到太阳中心的距离为L2。则(    )

A.地球的质量       B.太阳的质量

C.月球的质量      D.利用上面给出的已知量可求太阳的密度

试题详情


同步练习册答案