0  423028  423036  423042  423046  423052  423054  423058  423064  423066  423072  423078  423082  423084  423088  423094  423096  423102  423106  423108  423112  423114  423118  423120  423122  423123  423124  423126  423127  423128  423130  423132  423136  423138  423142  423144  423148  423154  423156  423162  423166  423168  423172  423178  423184  423186  423192  423196  423198  423204  423208  423214  423222  447090 

33.(13分)(注意:在试题卷上作答无效。)

下图表示在三个密闭装置中培养某种细菌的实验,在控制条件下培养一段时间后,分析培养液中淀粉酶的活性,请回答有关问题:

⑴所培养细菌的新陈代谢类型为__________________型,培养液中供给细菌所需的营

养物质除碳源外还有_______、_________、_________和___________。

⑵由实验分析可知,淀粉酶属于____________酶,合成该酶需要的内外条件是_ ___

____________和_________________________。

⑶细菌体内某氨基酸X的生物合成途径如下:

这种细菌的野生型能在基本培养基(满足野生型细菌生长的简单培养基)上生长,而由该种细菌野生型得到的两种突变型(以下简称甲、乙)都不能在基本培养基上生长;在基本培养基中若只添加中间产物2,则甲、乙都能生长;若只添加中间产物1,则乙能生长而甲不能生长。请回答:

①根据上述资料可知:甲不能合成酶__________;乙不能合成酶__________。

②在发酵过程中,当菌体中X含量过高时,其合成速率就下降。这种调节方式属于

__________,主要是因为X与酶c发生结合,致使酶的结构产生变化,但这种变化

是____________。若要保持其合成速率,可采取的措施是___________________ _,

使X排出菌体外。

试题详情

32.(9分)(注意:在试题卷上作答无效。)

下表中列出了几种限制酶识别序列及其切割位点。

限制酶
BamHⅠ
Hind Ⅲ
EcoRⅠ
SmaⅠ
识别序列及
切割位点
GGATCC
CCTAGG
AAGCTT
TTCGAA
GAATTC
CTTAAG
CCCGGG
GGGCCC

下图是转基因抗病香蕉的培育过程,含目的基因的DNA和质粒上的箭头表示相关限制酶的酶切位点。请回答下列问题:

 

⑴用图中的质粒和目的基因构建重组质粒,不能使用SmaⅠ酶切割,原因是________。

⑵构建含目的基因的重组质粒A时,选用___________________________(限制)酶对________________________________________进行切割,可以防止质粒和含目的基因的外源DNA片段自身环化。

⑶香蕉组织细胞具有_______________,因此,可以利用组织培养技术将导入目的(抗病)基因的香蕉组织细胞培育成植株。图中①、②依次表示组织培养过程中香蕉组织细胞的______________、__________________。

⑷培养皿中的培养基除添加营养物质外,还需要添加___________,其目的是诱导外植体完成①、②生理过程,培养成完整的植物体。

试题详情

31.(11分)(注意:在试题卷上作答无效。)

香蕉果实成熟过程中,果实中的贮藏物不断代谢转化,香蕉逐渐变甜。右图中两条曲线表示香蕉果实成熟过程中葡萄糖和淀粉两种物质含量的变化趋势。请回答:

⑴I曲线表示香蕉果实成熟过程中__________(物质)含量的变化趋势,

⑵请设计实验来验证你⑴中的判断。

实验器材:成熟到第X天和第Y天香蕉果肉、磨浆机、试管若干、大烧杯、量筒、酒精灯、碘液、新制斐林试剂等

①实验原理:____________________,其颜色深浅与淀粉含量成正比;_________ __________________________________,其颜色深浅与葡萄糖含量成正比。

②实验步骤:

㈠取成熟到第X天和第Y天的等量香蕉果肉,分别加等量的蒸馏水制成提取液。然后在a、b试管中各加5mL第X天的提取液,在c、d试管中各加5mL第Y天的提取液。

㈡_____________________________________________________。

㈢观察实验现象并比较a、c试管中,b、d试管中颜色变化,记录实验结果。

③实验现象:_____________________________________________________________ ______________________________________________________________。

⑶用乙烯利催熟香蕉的过程中,会出现下列生理现象:①出现一个呼吸速率迅速上升

的阶段;②香蕉果皮由绿色逐渐变为黄色。请回答下列问题:

①如果通风不良,催熟的香蕉会产生酒味,请解释原因。______________。

②在催熟的过程中每日取样,提取果皮中光合色素进行纸层析,色素带会出现什么

变化?_______________________________。

试题详情

30.(15分)(注意:在试题卷上作答无效。)

A、B、C、D四种芳香族化合物都是某些植物挥发油中的主要成分,有的是药物,有的是香料。它们的结构简式如下所示:

请回答下列问题:

⑴写出B中官能团的名称_____________。1molB能与含_____molBr2的溴水反应。

⑵既能使FeCl3溶液显紫色又能和NaHCO3反应放出气体的有___________(用A、B、C、D填空)。

⑶按下图,C经一步反应可生成E,E是B的同分异构体,则反应①属于_________反应(填反应类型名称),写出反应②的化学方程式_______________________。

⑷同时符合下列两项要求的D的同分异构体有4种

①化合物是1,2-二取代苯;

②苯环上的两个取代基分别为羟基和含有-COO-结构的基团

其中两种(G和H)结构简式如下图所示,请补充另外两种。

_________________________________、__________________________________。

⑸写出H与足量NaOH溶液共热反应的化学方程式________________________。

试题详情

29.(15分)(注意:在试题卷上作答无效。)

某研究性学习小组将一定浓度的Na2CO3溶液滴入CuSO4溶液中得到沉淀。

甲同学认为两者反应只有CuCO3一种沉淀生成;

乙同学认为这两者相互促进水解反应,生成Cu(OH)2一种沉淀;

丙同学认为生成CuCO3和Cu(OH)2两种沉淀。

Ⅰ.⑴写出Na2CO3溶液水解的离子方程式_____________________________;

⑵在探究沉淀物成分前,须将沉淀从溶液中分离并净化。具体操作为

①过滤  ②________(填操作名称)  ③干燥。

Ⅱ.请用下图所示装置,选择必要的试剂,定性探究生成物的成分。

⑴各装置连接顺序为___________________________。

⑵装置C中装有试剂的名称是_____________________________。

⑶能证明生成物中有CuCO3的实验现象是___________________。

Ⅲ.若CuCO3和Cu(OH)2两者都有,可通过下列所示装置的连接,进行定量分析来

测定其组成。

⑴按气体流向从左向右的的顺序,实验中各装置接口的连接顺序为: e→f→____→____→____→____→g→h→____。

⑵装置C中碱石灰的作用是___________________________________________,实验结束时要继续通入处理过的过量空气,其作用是:___________________。

⑶若沉淀样品的质量为mg,装置B质量增加了ng,则沉淀中CuCO3的质量分数为:_________________________×100%

试题详情

28.(14分)(注意:在试题卷上作答无效。)

KMnO4是一种常用的强氧化剂,工业上以软锰矿(主要成分MnO2)为原料,通过液相法生产。即在反应器中在碱性条件下用氧气氧化MnO2得到K2MnO4,分离后得到K2MnO4,再在电解槽中用铂板作阳极,铁作阴极电解K2MnO4溶液得到KMnO4,简略生产过程如下所示:

回答下列问题:

⑴写出反应器中反应的方程式____________________________________________。

⑵生产过程中最好使用含MnO280%以上的富矿,因为MnO2含量较低的贫矿中Al的氧化物含量较高,会导致KOH消耗量偏高,用离子方程式表示KOH消耗偏高的原因___________________________________________________________________。

⑶写出电解槽中阴极和阳极的电极反应方程式

阴极:___________________________;阳极:_____________________________。

⑷在传统工艺中,得到K2MnO4后,向其溶液中通入CO2制备KMnO4,配平方程式:

_______K2MnO4+_______CO2=_______KMnO4+_______MnO2+_______K2CO3

将所得KMnO4配成0.1mol·L-1KMnO4溶液,滴定20.00mL未知浓度的FeCl2溶液,消耗KMnO4溶液30.00mL。滴定达到终点时的现象为:_____________________,则FeCl2溶液的浓度为___________mol/L。

试题详情

27.(16分)(注意:在试题卷上作答无效。)

A、B、C、D、E、F六种短周期元素,原子序数依次增大,A、E同主族,D、F同主族,A元素的原子半径是所有原子中最小的,B元素原子的最外层电子数是内层电子数的2倍,C元素的最高价氧化物的水化物X与其氢化物反应生成一种盐Y,A、B、C、E、F五种元素都能与D元素形成原子个数比不相同的常见化合物。回答下列问题:

⑴F元素在周期表中的位置_________________________,写出阴离子B22-的电子式(用B对应元素的元素符号来表示)____________________________。

⑵常温下,X、Y的水溶液pH均为4,设X、Y水溶液中由水电离出的H+浓度分别为a、b,则a与b之比为_____________。

⑶A、B、D、E四种元素组成的某无机化合物,受热易分解。写出少量该化合物溶液与足量的Ba(OH)2溶液反应的离子方程式_____________________。

⑷A单质与C单质在一定条件下可化合为Z,室温下,向pH=a的Z的水溶液中加入等体积pH=b的X的水溶液,且a+b=14,充分作用后,溶液pH_______7(填“>”“<”或“=”),该溶液中各种离子浓度由大到小的顺序为______________。

⑸如下图所示,在温度不变的条件下,某容器分隔I、II两部分,I容积固定不变,II有可移动的活塞。现在I中充入2molFD2和1molD2,在II中充入2molFD3(g)和1molC2,在相同温度下发生可逆反应:2FD2(g)+D2(g) 2FD3(g)。

根据下列要求填写空白:

①若固定活塞位置在右侧的3处不动,达到平衡时,设I中压强为PI,II中压强为PII,则PI_________PII(填“大于”、“小于”或“等于”)。

②若要使II中与I中平衡状态相同,可移动活塞的位置应在_____处(选“2”、“3”或“4”)。

③若活塞右移到5处,达到平衡后,I中FD3(g)为xmol,II中FD3(g)为ymol,则x和y的关系是x________y(填“大于”、“小于”或“等于”)。

试题详情

26.(20分)(注意:在试题卷上作答无效。)

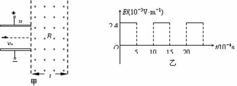
如图甲所示,偏转电场的两个平行极板水平放置,板长L=0.08m,板距足够大,两板的右侧有水平宽度l=0.16m、竖直宽度足够大的有界匀强磁场。一个比荷为=5×107C/kg的粒子(其重力不计)以v0=80m/s的速度从两板中间沿与板平行的方向射入偏转电场,进入偏转电场时,偏转电场的场强恰好按图乙开始随时间发生变化,两极板的极性如图甲;粒子离开偏转电场后进入匀强磁场,最终刚好没有从右边界射出。求:

⑴粒子在磁场中运动的速率v;

⑵粒子在磁场中运动的轨道半径R;

⑶磁场的磁感应强度B。

试题详情

25.(19分)(注意:在试题卷上作答无效。)

如图所示,水平光滑地面上停放着一辆小车,小车左侧靠在竖直墙壁上,小车的四分之一圆弧轨道是光滑的并在最低点B处与水平轨道BC相切,BC的长度是圆弧半径的10倍,整个轨道处于同一竖直平面内。可视为质点的物块从A点正上方某处无初速下落,恰好落入小车圆弧轨道并沿圆弧轨道滑动,然后沿水平轨道滑行至轨道末端C处恰好没有滑出。已知物块到达圆弧轨道最低点B时对轨道的压力是物块重力的9倍,小车的质量是物块的3倍,不考虑空气阻力和物块落入圆弧轨道时的能量损失。求:

⑴物块开始下落的位置距水平轨道BC的竖直高度是圆弧半径的几倍?

⑵物块与水平轨道BC间的动摩擦因数μ。

试题详情

24.(15分)(注意:在试题卷上作答无效。)

质量m=15kg的光滑球A悬空靠在墙和木块B之间,木块B的质量为M=150kg,且静止在水平地板上,如图所示,取g=10m/s2,求:

⑴墙和木块B受到的球的压力各为多少?

⑵水平地板所受的压力和木块B所受的摩擦力各为多少?

试题详情


同步练习册答案