0  430826  430834  430840  430844  430850  430852  430856  430862  430864  430870  430876  430880  430882  430886  430892  430894  430900  430904  430906  430910  430912  430916  430918  430920  430921  430922  430924  430925  430926  430928  430930  430934  430936  430940  430942  430946  430952  430954  430960  430964  430966  430970  430976  430982  430984  430990  430994  430996  431002  431006  431012  431020  447090 

1.(09·上冈中学模拟)某学生设计出下列四种逻辑电路,当A端输入高电压时,电铃不能发出声音的是  (  ACD  )

试题详情

30.(09·西城区模拟)  在如图甲所示的电路中,螺线管匝数n = 1500匝,横截面积S = 20cm2。螺线管导线电阻r = 1.0Ω,R1 = 4.0Ω,R2 = 5.0Ω,C=30μF。在一段时间内,穿过螺线管的磁场的磁感应强度B按如图乙所示的规律变化。求:

(1)求螺线管中产生的感应电动势;

(2)闭合S,电路中的电流稳定后,求电阻R1的电功率;

(3)S断开后,求流经R2的电量。

答案:(1)根据法拉第电磁感应定律 

   求出     E = 1.2V             

(2)根据全电路欧姆定律   

     根据                 

   求出     P = 5.76×10-2W         

(3)S断开后,流经R2的电量即为S闭合时C板上所带的电量Q

电容器两端的电压   U = IR2=0.6V     

流经R2的电量   Q = CU = 1.8×10-5C     

题组二

试题详情

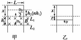
29.(2009届安徽省皖南八校高三第一次联考试卷)如图所示,平行导轨竖直放置,上端用导线相连,中间跨接的金属棒与导轨组成闭合回路。水平虚线L1L2 之间存在垂直导轨所在平面向里的磁场,磁感应强度的变化规律是B2= B 02 (1+ky),其中B0k为已知量,y为磁场中任一位置到Ll 的距离.金属棒从L2 处以某一速度向上运动进人磁场,经过L1时其速度为刚进人磁场时速度的一半,返回时正好匀速穿过磁场.已知金属棒在导轨上滑动时所受的摩擦力和重力之比为5 :13 ,重力加速度为g ,导轨上单位长度的阻值是恒定的,其余的电阻不计.求:

( 1 ) Ll 到导轨上端的距离

( 2 )金属棒向上运动进人磁场的初速度与向下运动进人磁场的速度之比.

( 3 )金属棒向上刚进人磁场的加速度的大小.

答案  设导轨间的距离为L,位长度的阻值为L1位置到导轨上端的距离为x,磁场的高度为h1,金属棒以向上进入磁场,离开磁场后上升的最大高度为h2,向下进入磁场后的速度为。如图甲、乙所示

(1)金属棒在磁场中向下运动时所受的安培力为:

F=BIL= 

要使F不随y的改变而改变,必须有。 

(2)金属棒离开磁场后的上升阶段有: h2    

金属棒进入磁场前的下落阶段有: h3      

    

得:   

(3)金属棒向上和向下经过位置时所受安培力之比为:

    

金属棒向下进入磁场做匀速运动,其安培力 

金属棒向上进入磁场时的加速度的大小为:

。     

试题详情

27.(09·崇文模拟)如图所示,在坐标xoy平面内存在B=2.0T的匀强磁场,OAOCA为置

于竖直平面内的光滑金属导轨,其中OCA满足曲线方程C为导

轨的最右端,导轨OAOCA相交处的O点和A点分别接有体积可忽略的定值电阻R1

R2,其R1=4.0Ω、R2=12.0Ω。现有一足够长、质量m=0.10kg的金属棒MN在竖直向

上的外力F作用下,以v=3.0m/s的速度向上匀速运动,设棒与两导轨接触良好,除

电阻R1R2外其余电阻不计,g取10m/s2,求:

(1)金属棒MN在导轨上运动时感应电流的最大值;

(2)外力F的最大值;

(3)金属棒MN滑过导轨OC段,整个回路产生的热量。

答案(1)金属棒MN沿导轨竖直向上运动,进入磁场中切割磁感线产生感应电动势。当金属棒MN匀速运动到C

点时,电路中感应电动势最大,产生的感应电流最大。

金属棒MN接入电路的有效长度为导轨OCA形状满足的曲线方程中的x值。因此接入电路的金属棒的有效长度为

    Lm=xm=0.5m

    Em=3.0V

    且      

A

(2)金属棒MN匀速运动中受重力mg、安培力F、外力F作用

   N

  N

(3)金属棒MN在运动过程中,产生的感应电动势

   有效值为 

金属棒MN滑过导轨OC段的时间为t

    m

s 

滑过OC段产生的热量    J.

28 (郴州市2009届高三调研试题)如图所示,一矩形线圈在匀强磁场中绕轴匀速转动,磁场方向与转轴垂直.已知线圈匝数n=400,电阻r=0.1Ω,长L1=0.05m,宽L2=0.04m,角速度=l00 rad/s,磁场的磁感应强度B=0.25T.线圈两端外接电阻R=9.9Ω的用电器和一个交流电流表(内阻不计),求:

(1)线圈中产生的最大感应电动势.

(2)电流表A的读数.

(3)用电器上消耗的电功率.

答案 (1)EmnBSω

  代人数据得  Em=400×0.25×0.05×0.04×l00 V=20 V 

(2)Im=

代人数据得ImA=2A 

∵是正弦交变电流,所以电流表读数即有效值

I=A=1.41A  

(3)PI2R×9.9W=19.8W. 

试题详情

26. (郴州市2009届高三调研试题)如图所示,两根完全相同的“V”字形导轨OPQKMN倒放在绝缘水平面上,两导轨都在竖直平面内且正对、平行放置,其间距为L,电阻不计。两条导轨足够长,所形成的两个斜面与水平面的夹角都是α.两个金属棒ab的质量都是m,电阻都是R,与导轨垂直放置且接触良好.空间有竖直向下的匀强磁场,磁感应强度为B

 (1)如果两条导轨皆光滑,让固定不动,将ab释放,则ab达到的最大速度是多少?

 (2)如果将ab同时释放,它们所能达到的最大速度分别是多少?

答案  (1) ab运动后切割磁感线,产生感应电流,而后受到安培力,当受力平衡时,加速度为0,速度达到最大,受力情况如图所示.则:

  mgsinα=Fcosα

  又FBIL

  IE/2R

  EBLvmcosα 

  联立上式解得 

  (2)若将ab同时释放,因两边情况相同,所以达到的最大速度大小相等,这时ab都产生感应电动势而且是串联.

  ∴mgsinαFcosα

  FBL

  

试题详情

25. (湖南长沙二中2009届高三第一次质量检测试卷) M是一长为L的竖直放置的绝缘挡板,N是一块同样长的与水平面成45°角且与M相对放置的绝缘挡板,它们的底边保持平行。在M板正中央O点有一个质子速度

v0对着N板水平射出,首次击中N板的点与O点相距为d。设所有碰撞均无能量损失。在整个装置中有水平向右的匀强磁场,磁感应强度为B,假设质子最后一次碰撞发生在N板的正边缘处,试求:(1)挡板长L应满足什么条件?(2)质子在两板间的运动时间。

答案  (1)

   (2)直线运动时间:  圆运动时间:

   总运动时间:

试题详情

24.(09·东城模拟)如图所示,两平行金属导轨间的距离L=0.40m,金属导轨所在的平面与水平面夹角=37°,在导轨所在平面内,分布着磁感应强度B=0.50T、方向垂直于导轨所在平面的匀强磁场。金属导轨的一端接有电动势E=4.5V、内阻r=0.50Ω的直流电源。现把一个质量m=0.040kg的导体棒ab放在金属导轨上,导体棒恰好静止。导体棒与金属导轨垂直、且接触良好,导体棒与金属导轨接触的两点间的电阻R0=2.5Ω,金属导轨电阻不计,g取10m/s2。已知sin37°=0.60,cos37°=0.80,求:

(1)通过导体棒的电流;

(2)导体棒受到的安培力大小;

(3)导体棒受到的摩擦力大小。

答案:(1)导体棒、金属导轨和直流电源构成闭合电路,根据闭合电路欧姆定律有:

I==1.5A

(2)导体棒受到的安培力:

F=BIL=0.30N

(3)导体棒所受重力沿斜面向下的分力F1= mg sin37°=0.24N

由于F1小于安培力,故导体棒受沿斜面向下的摩擦力f

  根据共点力平衡条件

 mg sin37°+f=F

解得:f=0.06N

试题详情

23.(湖南长沙二中2009届高三第一次质量检测试卷)如图甲所示,长为a宽为b,单位长度电阻为r的均匀线框从磁感应强度为B的匀强磁场中以速度v速拉出,求拉力的功及PQ两点间的电势差。如果线框以图乙方式匀速拉出,为使外力的功与图甲方式相同,拉出的速度v1应为多大?此时PQ两点间的电势差多大?

答案:    电势差同上

试题详情

22.(合肥35中2009届高三物理第一次质量抽测试卷)如图,在水平桌面上 放置两条相距l的平行光滑金属导轨abcd,阻值为R的电阻与导轨的ac端相连。金属滑杆MN垂直于导轨并可在导轨上滑动。整个装置放于匀强磁场中,磁场的方向竖直向上,磁感应强度的大小为B。滑杆与导轨电阻不计,滑杆的中点系一不可伸长的轻绳,绳绕过固定在桌边的光滑轻滑轮后,与一质量为m的物块相连,拉滑杆的绳处于水平拉直状态。现若从静止开始释放物块,用I表示回路中的感应电流,g表示重力加速度,则在物块下落过程中物块的速度可能                (  ABD  )

A.小于     B.等于   C. 小于   D.  大于

试题详情

21.(2009届安徽省皖南八校高三第一次联考试卷)如图所示,两平行导轨M N 水平固定在一个磁感应强度为B、方向竖直向上的匀强磁场中;两根相同的导体棒Ⅰ、Ⅱ垂直于导轨放置,它们的质量都为m,电阻都为R,导体棒与导轨接触良好,导轨电阻不计,导体棒与导轨间的动库擦因数均为μ.开始时两导体棒处于静止状态.现对Ⅰ棒施加一平行于导轨的恒力F(方向如图所示),使I 棒运动起来.关于两棒的最终的运动状态,下列说法可能正确的是                                   (  ACD  )

A.Ⅰ棒最终做匀速运动而Ⅱ棒静止

B.Ⅰ、Ⅱ两棒最终都以相同的速度做匀速运动

C.两棒最终都匀速(不为零)运动,但Ⅰ棒的速度较大

D.两棒最终都以相同的加速度(不为零)运动

试题详情


同步练习册答案