题目列表(包括答案和解析)

 0  122802  122810  122816  122820  122826  122828  122832  122838  122840  122846  122852  122856  122858  122862  122868  122870  122876  122880  122882  122886  122888  122892  122894  122896  122897  122898  122900  122901  122902  122904  122906  122910  122912  122916  122918  122922  122928  122930  122936  122940  122942  122946  122952  122958  122960  122966  122970  122972  122978  122982  122988  122996  447348 

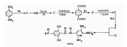
34.(8分)[化学-有机化学基础]

   M5纤维是美国开发的一种超性能纤维,下面是M5纤维的合成路线(有些应未注明条件):

请回答:

  (1)写出合成M5单体F的结构简式:            

  (2)反应类型:A→B          ,F+G→M5      

  (3)某些芳香族有机物是C的同分异构体,则这些芳香族有机物(不包含C)结构中不可能有       (填序号)

     a.两个羟基    b.一个醛基       c.两个醛基       d.一个羧基

  (4)写出化学方程式:

     B→C                     

D→E                     

试题详情

33.(8分)[化学-物质结构与性质]

钛和钛的合金已被广泛用于制造电讯器材、人造骨骼、化工设备、飞机等航天航空材料,被誉为“未来世界的金属”。试回答下列问题:

  (1)钛有Ti两种原子,它们互称为       。Ti元素在元素周期表中的位置是第       周期,第        族;基态原子的电子排布式为    

     按电子排布Ti元素的元素周期表分区中属于      区元素。

  (2)偏钛酸钡在小型变压器、话筒和扩音器中都有应用。偏

     钛酸钡晶体中晶胞的结构如右图所示,它的化学式是

                    

  (3)现有含Ti3+的配合物,化学式为[TiCl(H2O)5]Cl2·H2O。

配离子[TiCl(H2O)5]2++中含有的化学键类型是      

该配合物的配体是      

试题详情

32.(8分)[化学-化学与技术]

海水中溶解了大量的气体物质和各种盐类。人类在陆地上发现的100多种元素,在海水中可以找到80多种。海洋是一个远未完全开发的巨大化学资源宝库,海洋资源的综合利用具有非常广阔的前景。

回答下列问题:

  (1)蒸馏法是人类最早使用的淡化海水的方法,技术和工艺比较完备,但由于使用大量燃煤,因此能耗多、排污量大。为克服蒸馏法海水淡化的缺陷,请你对蒸馏法淡化海水的工艺提出一条改进建议          

  (2)使用离子交换树脂与水中的离子进行交换也是常用的水处理技术。聚丙烯酸钠是一种离子交换树脂,写出聚丙烯酸钠单体的结构简式         

  (3)空气吹出法是目前从海水中提取溴的常用方法,流程如下(苦卤:海水蒸发结晶分离出食盐的母液):

   ①反应②的离子方程式为                       

   ②从反应③后的溶液中分离出单质溴的方法是            

试题详情

31.(16分)

已知:碱金属或碱土金属(Ⅱ族)与H2在隔绝空气加热时要以发生反应,生成离子型金属氢化物,如NaH、CaH2等,它们易与水反应。现有甲、乙两位同学分别设计了制备CaH2的实验,装置如图所示(分别以序号Ⅰ、Ⅱ表示),铁架台等夹持固定仪器已略去。

请回答下列问题

  (1)锌与盐酸反应的离子方程式为           

  (2)最后实验结果显示,两位同学的实验装置设计都有缺陷。

     装置Ⅰ的不足之处是         

装置Ⅱ的不足之处是         

  (3)请你从两套装置中选取你认为合理的部分,按从左到右的顺序组装一套制取CaH2的合理装置(用序号A、B、C……表示)      

  (4)检查完装置的气密性后,为了保证产品的纯度和实验安全必须先     ,然后再

                 ,才能点燃酒精灯加热。同样,为了安全,反应开始后,在E口处应           

   (5)军事和气象野外作业常用CaH2做生氢剂,使之与水反应产生H2,其反应的化学方程式为                  

[选做部分]

共8个题,考生必须从中选择1个物理题、1个化学题和1个生物题在答题纸规定的区域作答。

试题详情

30.(14分)

A-J分别表示中学化学中常见的一种物质,它们之间相互关系如下图所示(部分反应物、生成物没有列出),且已知G为主族元素的固态氧化物,A、B、C、D、E、F六种物质中均含同一种元素。请填写下列空白:

 

  (1)A、B、C、D、E、F六种物质中的含有同一种元素在周期表中位置     

  (2)写出检验D溶液中阳离子的方法               

  (3)写出反应④的离子方程式                     

  (4)若28gA单质在足量的氧气中灼烧,反应放出的热量为QkJ(Q>0),写出这个反应的热化学方程式:                     

  (5)若向气体K的水溶液中加入盐酸,使其恰好完全反应,所得溶液的pH    7

   (填“>”、“<”或“=”),用离子方程式表示其原因:      ;若向气体K的0.1mol/L水溶液中加入pH=1的硫酸,且氨水与硫酸的体积比为1:1,则所得溶液中含各离子物质的质量浓度由大到小的关系是             

试题详情

29.(12分)

以海水中常见物质A为原料可以发展很多种工业,下图中包含了中学课本中介绍的几种基本工业生产,请根据物质之间的转化关系回答下列问题:

  (1)C和D、C和G反应都可以制取消毒剂。C和G反应制取的消毒剂中有效成分的化学式为                        

  (2)写出电解A溶液的化学方程式为                 

  (3)若使工业合成J反应的平衡向生成J的方向移动,可采取的措施有      (填字母代号);

        A.升高温度   B.增大压强      C.使用催化剂     D.液化分离

  (4)将F和J通入A的饱合溶液中的顺序为      

        A.先通入F后通入J            B.先通入J后通入F

        C.同时通入                   D.没有先后顺序要求

  (5)图中所示工业制法获得的纯碱中常含有NaCl杂质,用下述方法可以测定样品中

NaCl        的质量分数。

   

样品mg    溶液         沉淀              固体ng

①检验沉淀是否洗涤干净的所用到的试剂是:            

②样品中NaCl的质量分数的数学表达式为:            

试题详情

28.(17分)

孔雀鱼是一种常见的观赏鱼,其性别决定方式属于XY型,是非常好的遗传学实验材料。几十年前,德国的一位育种者在众多的孔雀鱼幼鱼中发现一条身体后半部为暗色的个体,并以此个体为基础培育出了“礼服”品种。用“礼服”品种的雌鱼作亲本(P)与其它品种的雄鱼杂交,所得子代(F1)个体中,雌雄鱼均表现“礼服”性状,雄鱼表现为1/2“礼服”性状、1/2无“礼服”性状。请用“假说一演绎法”对“礼服”性状的遗传进行研究。

  (1)“假说-演绎法”的一般步骤为:①提出问题→②    →③    →④实验检验→⑤得出结论。

  (2)在研究“礼服”性状遗传的①步骤中,提出的问题是      

  (3)在研究“礼服”性状遗传的②步骤中,具体内容是:控制礼服性状的基因     

  (4)在研究“礼服”性状遗传的③步骤中,具体内容是    

  (5)请用遗传图解(基因符号为A、a)表示③步骤中的具体内容:

  (6)根据你的研究,请预测F2个体自由交配所得F3的性状表现型之比为:雌“礼服”:

     雌无“礼服”:雄“礼服”:雄无“礼服”=           

  (7)从分子遗传学的角度看,控制孔雀鱼的“礼服”性状的基因与控制非“礼服”性状的基因的根本区别是              

试题详情

27.(16分)

某转基因作物有很强的光合作用强度。某中学生物兴趣小组在暑假开展了对该转基因作物光合强度测试的研究课题,设计如下装置。请你利用下列装置完成光合作用强度测试实验,并分析回答有关问题。

Ⅰ、实验步骤

  (1)先测定植物的呼吸作用强度,方法步骤是:

①甲乙两装置的D中都放入        ,装置乙作对照。

②将装置甲、乙的玻璃钟罩         处理,放在温度相同的环境中。

③30分钟后分别记录甲、乙装置红墨水滴移动的方向和刻度。

  (2)测定植物的净光合作用强度,方法步骤是:

①甲、乙两装置D中放入          

②把装置甲、乙放在            

③30分钟后分别记录甲、乙两装置红墨水滴移动的方向和刻度。

  (3)实验操作30分钟后,记录甲装置红墨水滴移动情况:

 
 
实验30分钟后红墨水滴移动情况
测定植物呼吸作用
甲装置
     (填左或右移)1.5厘米
乙装置
右移0.5厘米
测定植物净光合作用
甲装置
     (填左或右移)4.5厘米
乙装置
右移0.5厘米

Ⅱ、实验分析:

假设红墨水滴每移动1㎝,植物体内的葡萄糖增加或减少1g。那么该植物的呼吸作用速率是         g/小时;白天光照15小时,一昼夜葡萄糖的积累量是   g。(不考虑昼夜温差影响)

试题详情

26.(17分)

     如图(a)所示,在真空中,半径为b的虚线所围的圆形区域内存在匀强磁场,磁场方向与纸面垂直。在磁场右侧有一对平行金属板M和N,两板间距也为b,板长为2b,两板的中心线O1O2与磁场区域的圆心O在同一直线上,O1也是圆周上的一点,两板左端与O1在同一竖直线上。有一电荷为+q、质量为m的带电粒子,以速率v0从圆周上的P点沿垂直于半径OO1并指向圆心O的方向进入磁场,当从O1点飞出磁场时,给M、N板加上如图(b)所示电压u,电后粒子刚好以平行于N板的速度,从N板的边缘飞出。不计平行金属板两端的边缘效应及粒子所受的重力。

  (1)求磁场的磁感应强度B;

  (2)求交变电压的周期T和电压U0的值;

  (3)若时,将该粒子从MN板右侧沿板的中心线O2O1,仍以速率v0射入M、N之间,求粒子从磁场中射出的点到P点的距离。

试题详情

25.(14分)

如图所示,一根不可伸长的轻绳两端各系一个小球a和b,跨在两根固定在离地高度为H的光滑水平细杆A、B上,质量为m的b球与B的距离为L,质量为4m的a球放置于地面上。把b球从水平位置由静止释放,求:

  (1)a球对地面的最小压力为多大?

  (2)已知细线能承受的最大拉力Fm=4mg,现给b球竖直向下的初速度,当b球运动到B点的正下方时细线恰被拉断,求b球落地点与B点的水平距离。

试题详情


同步练习册答案