题目列表(包括答案和解析)

 0  122833  122841  122847  122851  122857  122859  122863  122869  122871  122877  122883  122887  122889  122893  122899  122901  122907  122911  122913  122917  122919  122923  122925  122927  122928  122929  122931  122932  122933  122935  122937  122941  122943  122947  122949  122953  122959  122961  122967  122971  122973  122977  122983  122989  122991  122997  123001  123003  123009  123013  123019  123027  447348 

12.已知 如下物质的溶度积常数:FeS:Ksp=6.3×10-18mol2·L-2;CuS:Ksp=1.3×10-36mol2·L-2。下列说法正确的是                                     (   )

    A.同温度下,CuS的溶解度大于FeS的溶解度

    B.同温度下,向饱和FeS溶液中呈入少量Na2S固体后,Ksp(FeS)变小

    C.向含有等物质的量的FeCl2呼cuCl­2的混合溶液中逐滴加入Na2S溶液,最先出现的沉淀是FeS

    D.除去工业废水中的Cu2+,可以选用FeS做沉淀剂

试题详情

11.下列离子方程式书写正确的是                                      (   )

    A.澄清石灰水中加入盐酸:Ca(OH)2+2H+=2H2O+Ca2+

    B.硫酸氢钠溶液中逐滴加入氢氧化钠溶液,至溶液恰好呈中性:

    Ba2++OH-+SO42-+H+=BaSO4↓+H2­O

    C.少量Cl2通入FeBr2溶液中:2Fe2++Cl2=2Fe3++2Cl-

    D.向AlCl3溶液中滴加过量氨水:Al3++4NH3·H2O=AlO2-+4NH4++2H2O

试题详情

10.设NA表示阿伏加德罗常数,下列叙述中正确的是                       (   )

    A.常温常压下,20gD2O和足量的金属钠反应产生气体的分子数为0.5NA

    B.1molCl2参加的作何反应,反应过程中转移电子数都是2NA

    C.14g乙烯和丙烯的混合物中所含原子数为1.5NA

    D.1L0.5mol·L-1CH3COONa溶液中所含CH3COO-个数为0.5NA

试题详情

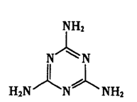
9.化学与科技、社会、生活有着密切的联系,下列有关说法正确的是          (   )

    A.2009年我国起征燃油税,工业上将石油蒸馏得到

汽油,主要发生了化学变化

    B.2008年诺贝尔化学奖授予研究绿色荧光蛋白的科学家,

区分蛋白质溶液和葡萄糖溶液可利用丁达尔效应

    C.2008年奶粉事件中污染物为三聚氰胺(结构如右图),

其摩尔质量为126g

    D.2008年支援上川灾区的生活用品中食醋、纯碱、食盐的主要化学物质分别属于酸、碱、盐

试题详情

8.下列关于生态系统结构与功能的说法错误的是                          (   )

A.在农业生产中,过度耕作导致分解者有氧呼吸加强,这是温室效应加剧的一个原因

B.在食物链中,每一个营养级的能量都有一部分流向下一个营养级

C.竞争和捕食是生态系统中两种重要的种间关系

D.在生态系统中,生产者不一定都能进行光能自养代谢

试题详情

7.下列有关人体甲状腺激素的说法不正确是                         (   )

    A.作用于下丘脑,促进其分泌促甲状腺激素释放激素

    B.作用于全身几乎所有细胞,促进代谢

C.有利于所作用的细胞产生更多的热量  

 D.作用于下丘脑,其作用机制为负反馈

试题详情

6.下列关于生物进化的叙述,正确的是                                 (   )

    A.用皮康霜治疗皮肤病,使用一段时间后,药效下降。这是由于引起皮肤病的病原体接触药物后,产生了对皮康霜药物有效成分的抗药性变异

    B.华南虎和东北虎的形成,是由于地理隔离导致生殖隔离的结果

    C.19世纪的英国工业革命,使灰色桦尺蛾变成新物种--黑色桦尺蛾

    D.海南热带野生动植物园的公狮和母虎交配,产下不育的“狮虎兽”,说明狮子和老虎存在生殖隔离

试题详情

5.下图甲、乙表示水稻两个品种,A、a和B、b表示分别位于两对同源染色体上两对等位基因,①-⑦表示培育水稻新品种的过程,则下列说法错误的是        (   )

    A.①→②过程简便,但培育周期长    B.①和⑦的变异都发生于有丝分裂间期

C.③过程常用的方法是花药离体培养   D.③→⑥过程与⑦过程的育种原理相同

试题详情

4.用洋葱鳞片叶表皮制备临时装片,用来观察植物细胞的质壁分离和复原现象变化。下列有关实验操作和结果的叙述,正确的是                                           (   )

    A.将装片在酒精灯上加热后,再观察细胞质壁分离现象

    B.在盖玻片一侧滴入清水,细胞吸水膨胀但不会破裂

    C.用不同浓度的硝酸钾溶液处理细胞后,均能观察到质壁分离复原现象

    D.当质壁分离不能复原时,细胞仍具正常生理功能

试题详情

3.下图表示有氧呼吸过程,下列有关说法正确的是(   )

A.①②④中能量数值最大的是②       B.③代表的物质名称是氧气

C.产生①②的场所是线粒体          D.部分原核生物能完成图示全过程

试题详情


同步练习册答案