题目列表(包括答案和解析)

 0  168037  168045  168051  168055  168061  168063  168067  168073  168075  168081  168087  168091  168093  168097  168103  168105  168111  168115  168117  168121  168123  168127  168129  168131  168132  168133  168135  168136  168137  168139  168141  168145  168147  168151  168153  168157  168163  168165  168171  168175  168177  168181  168187  168193  168195  168201  168205  168207  168213  168217  168223  168231  447348 

27、如图24-1所示,R1=R2=R3=R4=R,电键S闭合时,间距为d的平行板电容器C 的正中间有一质量为m,带电量为q的小球恰好处于静止状态;电键S断开时,小球向电容器一个极板运动并发生碰撞,碰撞后小球带上与极板同种性质的电荷。设碰撞过程中没有机械能损失,小球反弹后恰好能运动到电容器另一极板。若不计电源内阻,求:(1)电源的电动势,(2)小球与极板碰撞后的带电量。

分析与解:(1)电键S闭合时,R1、R3并联与R4串联,(R2中没有电流通过)

UC=U4=(2/3)ε

对带电小球有:mg=qE=qUC/d=(2/3)qε/d 得:ε=(3/2)mgd/q

(2)电键S断开后,R1、R4串联,则UC’=ε/2=(3/4)mgd/q  [1]

小球向下运动与下极板相碰后,小球带电量变为q’,向上运动到上极板,全过程由动能定理得:mgd/2-qUC’/2-mgd+q’UC’=0  [2]

由[1][2]式解得:q’=7q/6。

试题详情

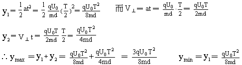
26、两平行金属板相距为d,加上如图23-1(b)所示的方波形电压,电压的最大值为U0,周期为T。现有一离子束,其中每个离子的质量为m,电量为q,从与两板等距处沿着与板平行的方向连续地射入两板间的电场中。设离子通过平行板所需的时间恰为 T(与电压变化周期相同),且所有离子都能通过两板间的空间打在右端的荧光屏上。试求:离子击中荧光屏上的位置的范围。(也就是与O‘点的最大距离与最小距离)。重力忽略不计。

分析与解:

各个离子在电场中运动时,其水平分运动都是匀速直线运动,而经过电场所需时间都是T,但不同的离子进入电场的时刻不同,由于两极间电压变化,因此它们的侧向位移也会不同。

当离子在t=0,T,2T……时刻进入电场时,两板间在T/2时间内有电压U0,因而侧向做匀加速运动,其侧向位移为y1,速度为V。接着,在下一个T/2时间内,两板间没有电压,离子以V速度作匀速直线运动,侧向位移为y2,如图23-2所示。这些离子在离开电场时,侧向位移有最大值,即(y1+y2)。

当离子在T=t/2,3/2T,5/2T……时刻进入电场时,两板间电压为零,离子在水平方向做匀速直线运动,没有侧向位移,经过T/2时间后,两板间有电压U0,再经过T/2时间,有了侧向位移y1,如图23-3所示。这些离子离开电场时有侧向位移的最小值,即y1

当离子在上述两种特殊时刻之外进入电场的,其侧向位移值一定在(y1+y2)与y1之间。根据上述分析就可以求出侧向位移的最大值和最小值。

所以,离子击中荧光屏上的位置范围为:

 

试题详情

25、如图22-1所示,A、B为平行金属板,两板相距为d,分别与电源两极相连,两板的中央各有小孔M、N。今有一带电质点,自A板上方相距为d的P点由静止自由下落(P、M、N三点在同一竖直线上),空气阻力不计,到达N点时速度恰好为零,然后按原路径返回。若保持两板间的电压不变,则:

A.    若把A板向上平移一小段距离,质点自P点下落仍能返回。

B.    若把B板向下平移一小段距离,质点自P点下落仍能返回。

C.    若把A板向上平移一小段距离,质点自P点下落后将穿过N孔继续下落。

D.    若把B板向下平移一小段距离,质点自P点下落后将穿过N孔继续下落。

分析与解:当开关S一直闭合时,A、B两板间的电压保持不变,当带电质点从M向N运动时,要克服电场力做功,W=qUAB,由题设条件知:带电质点由P到N的运动过程中,重力做的功与质点克服电场力做的功相等,即:mg2d=qUAB

若把A板向上平移一小段距离,因UAB保持不变,上述等式仍成立,故沿原路返回,应选A。

若把B板下移一小段距离,因UAB保持不变,质点克服电场力做功不变,而重力做功增加,所以它将一直下落,应选D。

由上述分析可知:选项A和D是正确的。

想一想:在上题中若断开开关S后,再移动金属板,则问题又如何?(选A、B)。

试题详情

52、如图47-1所示,相距0.9m的平行轨道ab、cd,分别接有“4V,2W”的灯L1和“6V,4.5W”的灯L2,导轨电阻不计,金属棒AM电阻为0.5Ω,在导轨上可自由滑动,磁感强度B=0.5T的匀强磁场垂直轨道平面,当棒AM以某一速度向右移动时,L1恰好能正常发光,求:(1)通过L1的电流强度;(2)棒AM的速度;(3)L1、L2两灯消耗的电功率。

解析:由题意知灯L1正常发光,灯L1两端电压为4V,消耗电功率为2W,则通过灯L1的电流强度,灯L2的两端电压也为4V,灯L2的电阻,则灯L2中电流强度,电路总电流,电路电动势

,灯L2消耗电功率为:

答:(1)通过L1的电流强度为0.5A;(2)棒AM的速度为10m/s;(3)灯L1消耗电功率P1=2W,灯L2消耗电功率P2=2W。

应注意:棒AM切割磁感线产生感应电动势,应为电源电动势,棒AM电阻为内电阻。

(未完待续)

试题详情

51、如图46-1所示,多匝线圈的电阻和电池内阻可忽略,两个电阻器的阻值都是R,K打开时,电流,今关闭K,关于自感电动势正确表达的是(   )。

A.有阻碍电流作用,最后电流减小到零;

B.有阻碍电流作用,最后电流小于I;

C.有阻碍电流增大的作用,因而电流保持不变;

D.有阻碍电流增大的作用,但最后电流增大到2I

解析:因为多匝线圈电阻可以忽略,所以线圈对电流的阻碍作用可以忽略,选项A、B均是错误的,电路中关闭电键,把一个电阻器短路,电路总电阻减小,电路中电流增大,线圈中电流变化,线圈中产生自感电动势阻碍线圈中电流增大,但线圈中电流还是要增大,直到线圈中电流为2I,电流不再增大,自感电动势自然消失,电路中有恒定电流,大小为2I。选项D正确。

试题详情

50、等腰三角形线框abc与长直导线MN绝缘,且线框被导线分成面积相等的两部分,如图45-1所示,M接通电源瞬间电流由N流向M,则在线框中(   )。

A. 线框中无感应电流;  

   B.线框中有沿abca方向感应电流;

C线框中有沿acba方向感应电流; 

D.条件不是无法判断。

解析:产生感应电流的条件是①电路要闭合;②穿过回路的磁通量要发生变化。线框为等腰三角形,是闭合电路,MN中通入N向M方向电流时,闭合回路中从无磁通变为有磁通,MN右侧磁场方向垂直纸面向里,左侧磁场方向垂直纸面向外,因右侧面积磁通量大于左侧面积的磁通量,故线框中的磁通量应为垂直纸向里。线框中应有感应电流,选项A、D是错误的,磁通量是增加的感应电流磁场阻碍磁通量增加,感应电流磁场应是垂直纸面向外,所以感应电流方向应是acba,选项C正确。

试题详情

49、如图44-1所示,矩形线框abcd,处于磁感应强度为B=0.2T的匀强磁场中,线框面积为S=0.3m2,线框从图示位置转过60°,线框中磁通量变化量

      ,线框在后来位置时磁通密度为      

解析:线框在图示位置时、磁感强度B与线框平面垂直,磁通量

,当线框转过60°时,线框在与磁感线垂直平面的投影面积,此时磁量,

线框处于匀强磁场中,各处的磁感强度的大小,方向均相同,所以B=0.3T。

从本题解答中可知,知识虽然很简单,题目也不复杂,但概念必须清楚,否则这两个答案都容易出错误,经常出现的错误是线框转,B也随之而变。

试题详情

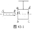
48、如图43-1所示,矩形线框abcd,与条形磁铁的中轴线位于同一平面内,线框内通有电流I,则线框受磁场力的情况(   )。

A.  ab和cd受力,其它二边不受力;

B. ab和cd受到力大小相等方向相反;

C.ad和bc受到的力大小相等,方向相反; 

D.以上说法都不对。

解析:如图43-2所示为条形磁铁的磁场分布情况,ab、bc、cd、da各边均处于磁场中,磁感线与ab、cd垂直,用左手定则可判断ab边受力垂直纸面向外,cd边受力垂直纸面向里,ab处于位置磁感强度B大,cd所处位置磁感强度B小,ab、cd边力大小不等。bc、ad与所在位置磁感强度的分量垂直,要受磁场力,且磁场方向垂直纸面向里。方向相同。大小也不一定相等,

因为ad、bc所在位置磁感强度不一定相等,可知

A、B、C选项均不正确,选项D正确。

试题详情

47、在磁场中某处磁感应强度B,可由B=F/IL求出,由此可知磁感应强度B(   )

A. 随通电直导线所受磁场力增大而增大;

B.随通电直导线中电流强度增大而减小;

C随通电直导线长度增大而减小;  

D.不随导线长度通过电流强度和通电直导线所受磁场力的变化而变化。

解析:磁感应强度B是描述磁场强弱的物理量,磁场强弱是由磁场本身决定的,与是否放入通电直导线,通电导线中电流强弱,以及通电直导线受磁场力等外界条件无关。B=F/IL,只表示几个物理量在一定条件的数量关系,而无决定关系。选项D是正确的。

试题详情

46.如图42-1所示为一固定在水平面上长L的绝缘板,整个空间有一水平的匀强电场,板在右半部有一个垂直于纸面向外的匀强磁场.一质量为m、带电量为q的物体,从板的P端由静止开始在电场力的作用下向右运动.小物体与水平面间摩擦系数为μ,进入磁场区域后恰能作匀速运动.当物体碰到挡板Q后被弹回.若在碰撞瞬间撤去电场,物体返回时在磁中仍能作匀速运动,离开磁场后作匀减速运动,并停在C点.设PC=1/4L.求:

(1)物体与挡板碰撞前后的速率v1和v2

(2)磁感应强度B的大小;

(3)电场强度E的大小和方向.

解 物体从P静止开始运动进入磁场速度v1,由动能定理得

qE(L/2)-μmg(L/2)=(1/2)mv12

进入磁场匀速,由反弹后仍匀速可知,电荷带正电.电场强度方向水平向右;进入磁场匀速

qE=μ(mg+qv1B),

反弹后匀速

mg=qv2B

出磁场后到C点停止

-μmg(L/4)=-(1/2)mv22

 

   ,方向水平向右.

试题详情


同步练习册答案