题目列表(包括答案和解析)

 0  169750  169758  169764  169768  169774  169776  169780  169786  169788  169794  169800  169804  169806  169810  169816  169818  169824  169828  169830  169834  169836  169840  169842  169844  169845  169846  169848  169849  169850  169852  169854  169858  169860  169864  169866  169870  169876  169878  169884  169888  169890  169894  169900  169906  169908  169914  169918  169920  169926  169930  169936  169944  447348 

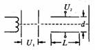
1.如图所示,示波器的示波管可以视为加速电场与偏转电场的组合,若已知加速电压为U1,偏转电压为U2,偏转极板长为L,板间距为d,且电子被加速前的初速度可忽略,则关于示波器的灵敏度(即偏转电场中每单位偏转电压所引起的偏转量h/ U2)与加速电场、偏转电场的关系,下列说法中正确的是( )

A. L越大,灵敏度越高   B. d越大,灵敏度越高

C. U1越大,灵敏度越小  D.灵敏度与U2无关

试题详情

21.ABD

试题详情

20.AC

由衰变过程中动量守恒,可知新核与放出的粒子运动方向相反,而磁场力方向相同,故放出的粒子带负电。因此发生的是衰变,新核为;新核和粒子在匀强磁场中均做匀速圆周运动,由半径公式粒子的半径大,即轨迹1应是粒子的径迹;再由左手定则知新核沿逆时针方向旋转,粒子顺时针方向旋转。

试题详情

19.AD 

初速度不为零的匀变速直线运动的速度公式,因此速度和时间呈线性关系,选项A正确。根据闭合电路欧姆定律可得,路端电压,选项B错误。由单摆周期公式可得:,即在T 2-L图线中是一条过原点的图线,成正比。根据胡克定律可得:x=k(yy0),得y=x/k+y0选项D正确。

试题详情

18.CD

(一条电场线无法判断场强大小,故A错;可以判断粒子受电场力方向向左,可以确定粒子在AB两点的速度及电势能的大小关系,C、D都正确;因粒子电性未知,电场线方向无法判断,AB两点电势的大小关系无法确定,B错。)

试题详情

17.CD

(本题考查机械波的基础知识。波沿x轴正方向传播,质点b沿y轴负方向运动,加速度正在增大;与质点a相比,质点a先通过平衡位置;由干涉和明显衍射的条件,CD正确。

试题详情


同步练习册答案