题目列表(包括答案和解析)

 0  29579  29587  29593  29597  29603  29605  29609  29615  29617  29623  29629  29633  29635  29639  29645  29647  29653  29657  29659  29663  29665  29669  29671  29673  29674  29675  29677  29678  29679  29681  29683  29687  29689  29693  29695  29699  29705  29707  29713  29717  29719  29723  29729  29735  29737  29743  29747  29749  29755  29759  29765  29773  447348 

22.有机物A的结构简式为         。A的同分异构体中带苯环的化合物共有(  )

A.3种            B.4种            C.5种            D.6种

试题详情

21.能在有机物的分子中引入羟基官能团的反应类型有:①酯化反应,②取代反应,③消去反应,④加成反应,⑤水解反应。其中正确的组合有(   )      

    A.①②③        B.④⑤          C.②④⑤        D.②③④⑤

试题详情

20.某醇C5H11OH发生消去反应时,可以得到两种烯烃,又可发生催化氧化,则该醇的结构

简式可能为(  )

试题详情

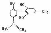
19.我国支持“人文奥运”的一个重要体现是:坚决反对运动员服用兴奋剂。兴奋剂的结构简

式如图所示,有关该物质的说法正确的是(    )

    A.遇FeCl3溶液显紫色,因为该物质与苯酚属于同系物

   B.滴入KMnO4(H+)溶液,观察紫色褪去,能证明结构中

存在碳碳双键

   C.1mol该物质分别与浓溴水和H2反应时最多消耗

Br2和H2分别为4mol、7mol

   D.该物质能发生银镜反应

试题详情

18.向MgSO4和Al2(SO4)3的混合溶液中, 逐滴加入NaOH溶液。下列图

象中, 能正确表示上述反应的是(横坐标表示加入NaOH溶液的体积,

纵坐标表示反应生成沉淀的物质的量)(   )

试题详情

17.一种合成染料的重要中间体-邻甲基水杨酸(M)的结构如右图,其下列说法正确的是(  )

A.标准状况下,1 mol M与足量金属钠反应,能生成22.4 L氢气

B.1 mol M与足量碳酸钠反应,能生成6.02×1023个二氧化碳分子

C.1 mol M最多能与60 g甲醇发生酯化反应

D.1 mol M完全燃烧消耗8 mol氧气

试题详情

16.将Fe、Cu、Fe2+、Fe3+和Cu2+盛于同一容器中充分反应,如Fe有剩余,则容器中只能有

(   )

A.Cu、Fe3+      B.Fe2+、Fe3+      C.Cu、Cu2+、Fe      D.Cu、Fe2+、Fe

试题详情

15.用括号内试剂及操作方法除去下列各物质中的少量杂质,不正确的是(    )

    A.苯中的苯酚(Br2水、过滤)      

    B.乙酸乙酯中的乙酸(饱和碳酸钠溶液、分液)

    C.乙烷中的乙烯(稀溴水、洗气)

    D.溴苯中的溴(NaOH溶液、分液)

试题详情

14.下列各组有机物中,肯定属于同系物的是(   )

A.HOCH2CH3和CH3OCH3        B.

                      

C.CH4和C4H10             D.C2H4O2和C3H6O2

试题详情

13.下列反应的离子方程式书写正确的是(   )

A.苯酚钠溶液中通入少量CO2:CO2 + H2O +C6H5O- C6H5OH + HCO3-

B.硫酸铝溶液中加入过量氨水:Al3++3OH=Al(OH)3

C.丙烯的加聚反应:

D.氯乙烷的消去反应:

试题详情


同步练习册答案