题目列表(包括答案和解析)

 0  29526  29534  29540  29544  29550  29552  29556  29562  29564  29570  29576  29580  29582  29586  29592  29594  29600  29604  29606  29610  29612  29616  29618  29620  29621  29622  29624  29625  29626  29628  29630  29634  29636  29640  29642  29646  29652  29654  29660  29664  29666  29670  29676  29682  29684  29690  29694  29696  29702  29706  29712  29720  447348 

14.右图为直流电源电解稀Na2SO4水溶液的装置。通电后在石墨电极a和b 附近分别滴加一滴石蕊试液,下列实验现象中正确的是(   )

A.一电极逸出无味气体,另一电极逸出刺激性气味气体

B. 逸出气体的体积a电极的小于b电极的

C.a电极附近呈红色,b电极附近出现蓝色

D.a电极附近呈蓝色,b电极附近出现红色

试题详情

13.玻璃器皿上沾有一些用水洗不掉的残留物,其洗涤方法正确的是(   )

①残留在试管内壁上的碘,用酒精洗涤 

②盛放过苯酚的试剂瓶中残留的苯酚,用酒精洗涤 

③做银镜反应后试管壁上银镜,用稀氨水洗涤 

④沾附在试管内壁上的油脂,用热碱液洗涤

A.①③④ B.②③④ C.①②④ D.①②③④

试题详情

12.今有高聚物…-CH2-CH(COOCH2CH3)-CH2-CH(COOCH2CH3)-CH2 -CH(COOCH2CH3)-… ,下列分析正确的是(   )

A.其单体是CH2=CH2和  H-CO-O-CH2CH3   B.它是缩聚反应的产物

C.其链节是 CH3-CH2-CO-O-CH2CH3   D.其单体是 CH2=CH-CO-O-CH2CH3

试题详情

11.萘环上的碳原子的编号如(Ⅰ)式,根据系统命名法,(Ⅱ)式可称为2-硝基萘,则化合物(Ⅲ)的名称应是 (    )

 

     A.1,6 - 二甲基萘          B.1,4 - 二甲基萘

     C.2,5 - 二甲基萘          D.2,6 - 二甲基萘

试题详情

10.已知某有机物A的红外光谱和核磁共振氢谱如下图所示,下列说法中错误的是(   )

A.由红光外谱可知,该有机物中至少有三种不同的化学键

     B.由核磁共振氢谱可知,该有机物分子中有三种不同化学环境的氢原子

     C.仅由其核磁共振氢谱无法得知其分子中的氢原子总数

D.若A的化学式为C2H6O,则其结构简式为CH3-O-CH3

试题详情

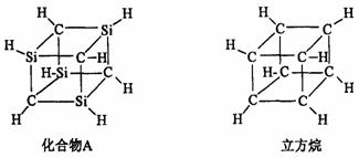
9.已知化合物A()与立方烷()的分子结构相似,如下图:

则C4Si4H8的二氯代物的同分异构体数目为(   )               

A.3         B.4        C.5        D.6

试题详情

8.硅橡胶的主要成分如右图所示,它是由二氯二甲基硅烷(  )经两种反应制成的,这两种反应是(   )

A.水解、缩聚         B.水解、加聚     

C.氧化、缩聚         D.消去、加聚

试题详情

7.已知:2H2(g)+ O2(g)=2H2O(l)       ΔH= -571.6KJ·mol-1

CH4(g)+ 2O2(g)=CO2(g)+2H2O(l)   ΔH= -890KJ·mol-1

现有H2与CH4的混合气体112L(标准状况),使其完全燃烧生成CO2和H2O(l),若实验测得反应放热3695KJ,则原混合气体中H2与CH4的物质的量之比是(   )

A.1∶1     B.1∶3     C.1∶4   D.2∶3

试题详情

6.化合物A(C4H8Br2)可由下列反应制得,则结构式不可能的是  (   )

C4H10OC4H8 C4H8Br2

A.CH3CH2CHBrCH2Br  B.CH3CH(CH2Br)2  C.CH3CHBrCHBrCH3  D.(CH3)2CBrCH2Br

试题详情

5.看下表数据回答问题                          

 
相对分子质量
沸点
常温下状态
甲醇
32
64.7℃
液体
乙烷
30
-88.6℃
气态

     从表中可以看出,甲醇和乙烷的沸点相差很大,下列关于其原因解释正确的是(   )

A.甲醇的相对分子质量较大             B.甲醇中只有一个碳原子

C.甲醇分子内存在氢键                  D.甲醇分子间存在氢键

试题详情


同步练习册答案