题目列表(包括答案和解析)

 0  29900  29908  29914  29918  29924  29926  29930  29936  29938  29944  29950  29954  29956  29960  29966  29968  29974  29978  29980  29984  29986  29990  29992  29994  29995  29996  29998  29999  30000  30002  30004  30008  30010  30014  30016  30020  30026  30028  30034  30038  30040  30044  30050  30056  30058  30064  30068  30070  30076  30080  30086  30094  447348 

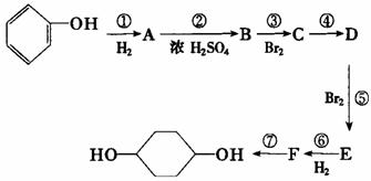
19.(12分)已知:(X代表卤素原子,R代表烃基)

利用上述信息,按以下步骤从合成。(部分试剂和反应条件已略去)

请回答下列问题:

(1)分别写出B、D的结构简式:B____      、D_  ____        __。

(2)反应①-⑦中属于消去反应的是____    _____。(填数字代号)

(3)如果不考虑⑥、⑦反应,对于反应⑤,得到的E可能的结构简式为:

_                                 

(4)试写出CD反应的化学方程式(有机物写结构简式,并注明反应条件): ___________________________________________。

试题详情

18、(7分)核磁共振氢谱(PMR)是研究有机物结构的重要方法之一。在研究的化合物分子中:所处环境完全相同的氢原子在PMR谱中出现同一种信号峰:如(CH3)2CHCH2CH3在PMR谱中有四种信号峰。又如CH3-CHBr=CHX存在着如下的两种不同空间结构:

因此CH3-CHBr=CHX的PMR谱上会出现氢原子的四种不同信号峰。

请填写下列空白:

(1)化学式为C3H6O2的物质在PMR谱上观察到下列两种情况下氢原子给出的信号峰:第一种情况出现两个信号峰,第二种情况出现三个信号峰,由此可推断对应于这两种情况该有机物质结构式可能为:          

(2)测定CH3CH=CHCl时:能得到氢原子给出的信号峰6种:由此可推断该有机物一定存在   

        种不同的结构;其结构式为:              

试题详情

17.(3分)某含氧有机化合物可以作为无铅汽油的抗爆震剂,它的相对分子质量为88.0,含C的质量分数为68.2%,含H的质量分数为13.6%,红外光谱和核磁共振氢谱显示该分子中有4个甲基。请写出其结构简式        

试题详情

16.扑热息痛是一种优良的扑解热镇痛剂,其结构式为它可能具有的化学性质是:

A.不与烧碱溶液反应   B.能与溴水发生加成反应

C.不能被氧化        D.遇FeCl3溶液呈现紫色

试题详情

14.过氧乙酸(CH3COOOH)是一种高效消毒剂,具有很强的氧化性和腐蚀性,它可由冰醋酸与过氧化氢在一定条件下制得;它可以迅速杀灭多种微生物,包括多种病毒(如:SARS病毒)、细菌、真菌及芽孢,有关过氧乙酸的叙述正确的是:

  A.过氧乙酸与羟基乙酸(HOCH2COOH)互为同分异构体

  B.过氧乙酸可与苯酚混合使用

  C.由过氧化氢与醋酸制取过氧乙酸的反应属于非氧化还原反应

D.浓过氧乙酸中加入少许紫色石蕊试液,振荡后试液一定呈红色

CH3-CH-CH-CH-CH3
 
15.某烷烃的结构为:            ,下列命名正确的是:

             CH3 C2H5 C2H5        

A. 2,4-二甲基-3-乙基己烷      B. 3-异丙基-4-甲基已烷

C. 2-甲基-3,4-二乙基戊烷      D. 3-甲基-4-异丙基已烷

试题详情

13.某有机物甲经氧化后得乙(分子式为C2H3O2Cl),而甲经水解可得丙。1mol丙和2mol乙反应得一种含氯的酯(C4H8O4Cl2),由此推断甲的结构简式为:

A.   B.   

C.           D.

试题详情

12.已知柠檬醛的结构简式为0,根据已有知识判定下列说法不正确的是:

A.它可使KMnO4溶液褪色

B.它可跟银氨溶液生成银镜

C.它可使溴水褪色

D.它被催化加氢后最终产物的化学式为C10H20O

试题详情

11. 室温下测得甲醛、乙醛和丙酮组成的液态混合物中氢元素的质量分数为9.8%,则该混合物的平均相对分子质量为 :                           

A. 50    B.49     C.51      D.44

试题详情

10.拟除虫菊酯是一类高效、低毒、对昆虫具有强烈触杀作用的杀虫剂,其中对光稳定的溴氰菊酯的结构简式如右图:

下列对该化合物叙述正确的是:

A . 属于芳香烃      

B.  属于卤代烃

C.  在酸性条件下不水解  

D.  在一定条件下可以发生加成反应

试题详情

9.分子式C4H8O2的有机物与硫酸溶液共热可得有机物A和B。将A氧化最终可得C,且B和C为同系物。若C可发生银镜反应,则原有机物的结构简式为:

A.HCOOCH2CH2CH3       B.CH3COOCH2CH3    

C.CH3CH2COOCH3       D.HCOOCH(CH3)2

试题详情


同步练习册答案