题目列表(包括答案和解析)

 0  30503  30511  30517  30521  30527  30529  30533  30539  30541  30547  30553  30557  30559  30563  30569  30571  30577  30581  30583  30587  30589  30593  30595  30597  30598  30599  30601  30602  30603  30605  30607  30611  30613  30617  30619  30623  30629  30631  30637  30641  30643  30647  30653  30659  30661  30667  30671  30673  30679  30683  30689  30697  447348 

10.新鲜水果、蔬菜、乳制品中富含的维生素C  教育博客具有明显的抗衰老作用 教育博客,但易被空气氧化。某课外小组利用碘滴定法测某橙汁中维生素C的含量,其化学方程式为:  教育博客

 教育博客

下列说法正确的是 教育博客

  A.上述反应为取代反应     教育博客      B.滴定时可用淀粉溶液作指示剂 教育博客

  C.滴定时应剧烈振荡锥形瓶    教育博客     D.脱氢维生素C的分子式为C6H8O6

试题详情

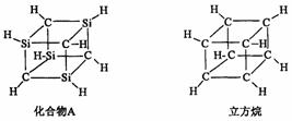
9. 已知化合物A(C4Si4H8)与立方烷(C8H8)的分子结构相似,如下图: 教育博客

 教育博客

则C4Si4H8的二氯代物的同分异构体数目为

A.3            B.4      教育博客     C.5        D.6

试题详情

8.可用于鉴别以下三种化合物的一组试剂是 教育博客

 教育博客

  乙酰水杨酸                  丁香酚                 肉桂酸

① 银氨溶液   ② 溴的四氯化碳溶液    ③ 氯化铁溶液   教育博客  ④ 氢氧化钠溶液

A.②与③             B.③与④    教育博客        C.①与④          D.①与②

试题详情

7.科学家最近在-100℃的低温下合成一种烃X,此分子的模型如下图 教育博客(图中的连线表示化学键), 教育博客下列说法正确的是           教育博客

    A.X分子中在同一平面上的碳原子最多5个 教育博客

B.X能使溴的四氯化碳溶液褪色         

B.X是一种在常温下能稳定存在的液态烃 教育博客

    D.充分燃烧等质量的X和甲烷,X消耗氧气多 教育博客

试题详情

6.设阿伏加德罗常数的值为NA,下列说法中正确的是 教育博客

A.2.8 g乙烯和丙烯的混合气体中所含碳原子数为0.2NA

B.1mol苯乙烯中含有的碳碳双键数为4NA  教育博客

C.0.1molCnH2n+2中含有的碳碳单键数为0.1nNA  教育博客

D.标准状况下,2.24LCHCl3含有的分子数为0.1NA

试题详情

5.下面四种变化中,有一种变化与其他三种变化类型不同的是     

A.CH3CH2OH + CH3COOH 浓硫酸△CH3COOCH2CH3 + H2O  教育博客

B.CH3CH2OHCH2=CH2↑+H2O  教育博客

C.2CH3CH2OHCH3CH2OCH2CH3 + H2O  教育博客

  D.CH3CH2OH + HBrCH3CH2Br + H2O

试题详情

4.中东有石油,中国有稀土, 稀土有“工业味精”、  教育博客 “新材料之母”之称,西方国家所消耗稀土的95%来自中国,宝贵的战略资源低价流失, 教育博客日渐枯竭,17种稀土元素性质非常接近,用有机萃取剂来分离稀土元素是一种重要的技术。 教育博客化合物A是其中一种, 结构式如右下图,根据你所学的知识判断A属于     教育博客        

A. 酸类                      B. 高分子   教育博客

C. 醛类           D. 酯类

试题详情

3.下面有一些物质的结构简式、化学名词不正确的是

①乙醇: HOCH2CH3 ②已二醛:OHC(CH2)4CHO ③对甲基苯酚:OH一一CH3 ④三硝基甲苯:       ⑤石碳酸      ⑥乙烯:CH2CH2  教育博客

⑦苯乙醛:-CH2COH       ⑧新戊烷:(CH3)3CCH3  教育博客    教育博客

A.③④⑤⑥⑦   B.①②⑧     C.②⑥⑦⑧    D.①③④⑦⑧ 教育博客

试题详情

2.聚氯乙烯简称PVC,是当今世界上产量最大、应用最广的热塑性塑料之一。下列说法正确的是

A.聚氯乙烯是由CH3CH2Cl加聚而成     

B.聚氯乙烯是高分子

C.聚氯乙烯能够使溴的四氯化碳溶液褪色

D.聚氯乙烯可制成保鲜膜适合用来包装蔬菜、水果及熟食

试题详情

1.下列物质的名称中,正确的是                                             

A.1,1-二甲基-3-丙醇                       B.2-甲基-4-丁醇

C.3-甲基-1-丁醇                               D.3,3-二甲基-1-丙醇

试题详情


同步练习册答案