题目列表(包括答案和解析)

 0  30968  30976  30982  30986  30992  30994  30998  31004  31006  31012  31018  31022  31024  31028  31034  31036  31042  31046  31048  31052  31054  31058  31060  31062  31063  31064  31066  31067  31068  31070  31072  31076  31078  31082  31084  31088  31094  31096  31102  31106  31108  31112  31118  31124  31126  31132  31136  31138  31144  31148  31154  31162  447348 

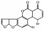
23.某有机物是一种强致癌物,其结构如右图所示。1mol该化合物在一定条件下分别与H2、NaOH溶液反应,最多消耗H2和NaOH的物质的量分别为            (   )

A.6mol、4mol           B.7mol、4mol

C.7mol、5mol           D.6mol、5mol

试题详情

22.将        转变为        的方法是          (   )

  A.与足量NaOH溶液共热后,再通入CO2

B.加热溶液,再通入HCl

C.与足量稀硫酸共热后,加入足量Na2CO3溶液

D.与足量稀硫酸共热后,加入足量的Na

试题详情

21.欲除去下列物质中的少量杂质(括号内物质为杂质),能够达到目的的是 (   )

A.乙酸乙酯(乙酸):加入足量NaOH溶液,充分振荡、静置后,分液

B.乙醇(水):加入新制生石灰,蒸馏

C.苯(苯酚):加入足量浓溴水,过滤

D.乙酸(乙醇):加入金属钠,蒸馏

试题详情

20.某烃的结构简式为CH3-CH2-CH=C(C2H5)-C≡CH,分子中含有四面体结构的碳原子(即饱和碳原子)数为a,在同一直线上的碳原子数为b,一定处于同一平面上的碳原子数为c,则a、b、c分别为                     (   )

A.4、3、5      B.4、3、6      C.2、5、4     D.4、6、4

试题详情

19.已知柠檬醛的结构简式为(CH3)2C=CHCH2CH2C(CH3)=CHCHO,则下列说法中不正确的是                               (   )

  A.能使酸性高锰酸钾溶液褪色           B.能发生还原反应

  C.催化加氢后的产物分子式为C10H20O       D.能使溴水褪色

试题详情

18.婴儿用的一次性尿布中有一层能吸水保水的物质,也有人建议可用此物质对沙漠进

行治理,下列高分子中有可能被采用的有:               (   )

A.                  B.

C.                  D.

试题详情

17.由苯乙烯和乙醛组成的混合气体,经测定:碳元素的质量分数为72%,则混合物中氧元素的质量分数为                         (   )

  A.22%       B.32%        C.2%       D.19.56%

试题详情

16.只用一种试剂区别以下七种无色液体:甲苯、己烯、四氯化碳、乙醇、亚硫酸、苯酚和碘化钾,应选用                         (   )

A.酸性KMnO4溶液     B.溴水     C.碘水     D.AgNO3溶液

试题详情

15.乙烯和1,3-丁二烯的混合气体1 L,催化剂存在下与足量氢气发生加成反应,消耗1.4 L氢气,则原混合气体中乙烯和1,3-丁二烯的体积比为      (   )

  A.3∶2        B.4∶1        C.3∶1        D.任意比

试题详情

14.下列有机物中,既能发生消去反应,又能发生酯化反应,还能发生催化氧化,且催化氧化产物能发生银镜反应的是                    (   )

  A.CH3OH                 B.CH3CH(OH)COOH

C.(CH3)2C(OH)CH2CH3           D.HOCH2CH2COOH

试题详情


同步练习册答案