题目列表(包括答案和解析)

 0  64112  64120  64126  64130  64136  64138  64142  64148  64150  64156  64162  64166  64168  64172  64178  64180  64186  64190  64192  64196  64198  64202  64204  64206  64207  64208  64210  64211  64212  64214  64216  64220  64222  64226  64228  64232  64238  64240  64246  64250  64252  64256  64262  64268  64270  64276  64280  64282  64288  64292  64298  64306  447348 

4、如图,8块相同的小长方形地砖拼成一个长方形,其中每一个小长方形的面积为(   )

A. 400 cm2   B. 500 cm2  C. 600 cm2  D. 675 cm2

 

试题详情

3、三个二元一次方程2x+5y-6=0,3x-2y-9=0,y=kx-9有公共解的条件是k=(    )

 A.4    B.3    C.2     D.1

试题详情

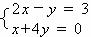
2、         二元一次方程组的解是(   )

 A.       B.     C.      D.

试题详情

1、在方程组 、中,是二元一次方程组的有(   )

A、2个       B、3个      C、4个     D、5个

试题详情

18、已知点A(-y-15,-15-2x),点B(3x,9y)关于原点对称,则x的值是______,y的值是_________。

试题详情

17、已知等腰三角形一腰上的中线将它的周长分为63和36两部分,则它的腰长是_________。底边长为___________。

试题详情

16、若是关于的方程的一个解,且,则        

试题详情

15、已知6x-3y=16,并且5x+3y=6,则4x-3y的值为    

试题详情

14、方程组的解是       

试题详情

13、如果二元一次方程组的解是,那么a+b=_________。

试题详情


同步练习册答案