题目列表(包括答案和解析)

 0  64153  64161  64167  64171  64177  64179  64183  64189  64191  64197  64203  64207  64209  64213  64219  64221  64227  64231  64233  64237  64239  64243  64245  64247  64248  64249  64251  64252  64253  64255  64257  64261  64263  64267  64269  64273  64279  64281  64287  64291  64293  64297  64303  64309  64311  64317  64321  64323  64329  64333  64339  64347  447348 

27、(12分)某手机生产厂家根据其产品在市场上的销售情况,决定对原来以每部2000元出售的一款彩屏手机进行调价,并按新单价的八折优惠出售,结果每部手机仍可获得实际销售价的20%的利润(利润=销售价-成本价).已知该款手机每部成本价是原销售单价的60%.

(1)求调整后这款彩屏手机的新单价是每部多少元?让利后的实际销售价是每部多少元?

(2)为使今年按新单价让利销售的利润不低于20万元,今年至少应销售这款彩屏手机多少部?

试题详情

26、现有190张铁皮做盒子,每张铁皮做8个盒身或做22个盒底,一个盒身与两个盒底配成一个完整盒子,问用多少张铁皮制成盒身,多少张铁皮制成盒底,可以正好制成一批完整的盒子?(10分)

试题详情

25、如图,△ABC中,D在BC的延长线上,过D作DE⊥AB于E,交AC于F.  已知∠A=30°,∠FCD=80°,求∠D。(10分)

试题详情

24、如图所示,请填写下列证明中的推理依据.(8分)              

证明:∵∠A=∠C(已知),

∴AB∥CD(_____________    ______)     

∴∠ABO=∠CDO(_________________________)           

又∵DF平分∠CDO,BE平分∠ABO(已知)              

∴∠1=∠CDO,∠2=∠ABO(_________________________)

∴∠1=∠2,∴DF∥BE(_____________________________________________)

试题详情

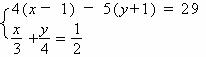
22、解方程组(6分)             23、解不等式组等式(6分)

          

试题详情

21、(6分)计算:- -|+2|+

试题详情

20、某班举办了一次集邮展览,展出的邮票若每人3张,则多24张,若每人4张,则少26张,这个班共展出邮票张数是:

  A、174     B、178     C、168     D、164

试题详情

19、不等式的解为,则的取值范围是(   )

A、    B、    C 、    D、

试题详情

18、一个正方形在平面直角坐标系中三个顶点的坐标为(-2,-3),(-2,1),(2,1),则第四个顶点的坐标为(   )

   A、(2,2)     B、(3,2)     C、(2,-3)     D、(2,3)

试题详情

17、下列说法中错误的个数是(   )

  (1)过一点有且只有一条直线与已知直线平行。

  (2)过一点有且只有一条直线与已知直线垂直。

  (3)在同一平面内,两条直线的位置关系只有相交、平行两种。

  (4)不相交的两条直线叫做平行线。

  (5)有公共顶点且有一条公共边的两个角互为邻补角。

   A. 1个    B. 2个    C. 3个    D. 4个

试题详情


同步练习册答案