题目列表(包括答案和解析)

 0  64191  64199  64205  64209  64215  64217  64221  64227  64229  64235  64241  64245  64247  64251  64257  64259  64265  64269  64271  64275  64277  64281  64283  64285  64286  64287  64289  64290  64291  64293  64295  64299  64301  64305  64307  64311  64317  64319  64325  64329  64331  64335  64341  64347  64349  64355  64359  64361  64367  64371  64377  64385  447348 

9.已知方程(2m-1)x∣n∣-5=0是关于x的一元一次方程,则m的值为___N的值为_________

试题详情

8.以为未知数的方程的根为,那么

试题详情

7.当时,代数式的值与的值的差是2.

试题详情

6.如果代数式的值互为相反数,那么

试题详情

5.代数式的值相等,那么

试题详情

4.下列解方程的过程中正确的是                  (   )

(A)将去分母,得;    

(B)由;    

(C)去括号得;   

(D),得.

试题详情

3.方程的解相同,则的值为       (   )

(A)7;     (B)0;     (C)3;    (D)5.

试题详情

2.若互为倒数,那么的值是             (   )

(A);      (B) ;     (C)  ;    (D) .

试题详情

1.下列结论正确的是                       (   )

(A)的解是

(B)的解是

(C)是方程的解;

(D)的解是.

试题详情

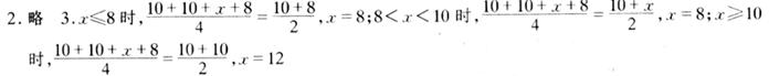
3.某班四个小组人数如下:10,10,x,8.已知这组数据中的中位数与平均数相等,求这组数据的中位数.

答案

 

试题详情


同步练习册答案