题目列表(包括答案和解析)

 0  66573  66581  66587  66591  66597  66599  66603  66609  66611  66617  66623  66627  66629  66633  66639  66641  66647  66651  66653  66657  66659  66663  66665  66667  66668  66669  66671  66672  66673  66675  66677  66681  66683  66687  66689  66693  66699  66701  66707  66711  66713  66717  66723  66729  66731  66737  66741  66743  66749  66753  66759  66767  447348 

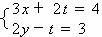
11、已知是方程组的解,则

试题详情

10、已知等腰三角形一腰上的中线将它的周长分为6和9两部分,则它的底边长是_________。

试题详情

9、已知二元一次方程组的解为,则

试题详情

8、若,则          

试题详情

7、已知点A(3x-6,4y+15),点B(5y,x)关于x轴对称,则x+y的值是________。

试题详情

6、若二元一次方程组同解,则可通过解方程

   _________      求得这个解。

试题详情

5、已知方程组,不解方程组则x+y=__________

试题详情

4、方程的正整数解是______________。

试题详情

3、已知,则x与y之间的关系式为__________________。

试题详情

2、已知方程,写出用表示的式子得___________________。当时,_______ 。

试题详情


同步练习册答案